Новости ЕСИМО
![]()
| Новости ЕСИМО Электронное периодическое издание Newsletter вып.8. 2001 г. |
Свидетельство о регистрации Эл. N 77-2093 от 17 ноября 1999 г. |
| Содержание |
| Статьи
И.Воронцов. Е.Д.Вязилов, В.П. Синецкий. А.А. Воронцов, Ю.Н. Жуков. А.А. Воронцов, Ю.Н. Жуков. Н.А.Вязилова. Заседание секции МНТС по подпрограмме 10 «Создание единой системы информации об обстановке в Мировом океане» ФЦП «Мировой океан» Положение о Группе экспертов по технологиям доступа, обмена и распространение информационных ресурсов ЕСИМО Положение о рабочих семинарах при секции межведомственного научно-технического совета по подпрограмме ЕСИМО ФЦП «Мировой океан» |
Новые публикации
Теория и методы статистического оценивания вероятностных характеристики случайных величин и функций с гидрометеорологическими примерами Обзор распределенных архивных центров НАСА Вклад НАСА в полярные науки: Обзор геофизических массивов данных по полярным районам Конвертеры единиц измерений Беспилотные самолеты сделают рыбную разведку более дешевой Четвертая Российская научно — техническая конференция «Современное состояние, проблемы навигации и океанографии» («НО-2001», 6-9 июня 2001, С.-Петербург) Second International Conference on «Oceanography of the Eastern Mediterranean and Black Sea: Similarities and Differences of Two Interconnected Basins» |
И. Воронцов
СОВРЕМЕННЫЕ CASE-СРЕДСТВА ПРОЕКТИРОВАНИЯ ИНФОРМАЦИОННЫХ СИСТЕМ И ПЕРСПЕКТИВЫ ИХ ИСПОЛЬЗОВАНИЯ В ОКЕАНОЛОГИИ
Реферат: В работе рассматриваются вопросы применения формальных методов во всем цикле процесса разработки приложений баз данных, от проектирования до реализации пользовательских интерфейсов и документирования системы. Приведены примеры применения формальных методов в области геоинформационных разработок. Целью внедрения такой методологии является упрощение доступа к данным и снижение расходов на получение информации.
Введение
Необходимость поиска новых подходов к вопросам разработки приложений вызвана в первую очередь накоплением гигантских и, зачастую, неоднородных массивов данных, что порождает проблемы, как в администрировании баз данных, так и в вопросах доступа к ним.
С 1964-го года, когда была организована Единая государственная система централизованного сбора, хранения, обработки и распространения материалов экспедиционных исследований мирового океана, был накоплен огромный объем материалов отечественных и зарубежных наблюдений в океане (более 35 тыс. экспедиций, включающих 1 800 000 океанографических станций, 7500 временных серий наблюдений за течениями, 400 тыс. БТ- станций). Понятно, что эти объемы постоянно увеличиваются. Так, например, в течение года выполняется около 600 рейсов НИС, включая рейсы по внутренним морям, со средним годовым объемом получаемой информации около 10 Мбайт (30 — 35 параметров среды).
В первые годы существования ЦОД была проделана огромная организационно- методическая работа по выявлению и учету океанографических данных в НИУ, разработке форматов и технологий занесения данных на технические носители, созданию программных средств обработки данных для выполнения запросов пользователей. Однако, в процессе обработки эта информация представляется в различных формах (в зависимости от упорядоченности данных, степени обработки и назначения).
Естественно, что при этом использовались различные способы хранения данных, выбирались наиболее удобные для конкретной проблемы инструменты. До определенного времени это не вызывало особых проблем при использовании материалов, но, с ростом объемов данных, равно как и потребностей в удобном и быстром доступе к ним, потребовалась унификация хранимых массивов.
Во ВНИИГМИ-МЦД такие работы ведутся давно, так был создан специальный язык описания океанографических данных, но уже само администрирование баз данных представляет серьезные сложности, особенно в вопросах модификации и расширения структур.
Насколько актуальны эти вопросы можно судить по основной цели первого этапа создания Единой системы информации об обстановке в Мировом океане (ЕСИМО), которая формулируется как «обеспечить приостановку процесса неуправляемого спада и стабилизацию основных параметров информационного обеспечения потребителей данными и информационной продукцией об обстановке в Мировом океане, создание основ системы и формирование потенциала ее развития».
Цели создания Единой системы информации об обстановке в Мировом океане (ЕСИМО) можно сформулировать следующим образом:
- развитие и интеграция ведомственных информационных систем и центров данных, формирование единого информационно-технологического пространства по проблемам Мирового океана и прибрежных территорий в РФ
- количественное и качественное развитие информационного обеспечения пользователей данными и информационной продукцией в регламентированном режиме и по запросам.
Для достижения указанных целей ЕСИМО должна обеспечивать выполнение следующих задач:
- поддержка производства наблюдений за текущим состоянием морской среды в океанах и на прибрежных территориях и накопление данных в центрах системы
- ведение единых информационно-технологических стандартов по предметной области системы
- формирование и ведение баз и банков данных по проблемам Мирового океана
- предоставление данных и информационной продукции в оперативном и задержанном режимах для информационного обеспечения морской деятельности
- долговременное и гарантированное хранение данных по Мировому океану
- взаимодействие с национальными и международными информационными системами, включая участие в международных программах.
Информационно-технологическая платформа ЕСИМО содержит концепции, требования, соглашения, специально разработанные методические и лингвистические средства, обеспечивающие информационную и технологическую совместимость различных частей ЕСИМО.
Основной путь достижения такой совместимости — достаточно глубокая унификация данных, метаданных и технологий. Под этими терминами понимается следующее:
- унификация данных — это применение единых способов и правил представления данных. Желательно, чтобы эти способы и правила были сформулированы на языковом уровне, а не с помощью стандартизации конкретных форматов. В различных компонентах ЕСИМО они могут отличаться, но должны быть согласованы между собой
- унификация метаданных — это использование общих средств описания информационных ресурсов — классификационных схем, словарей терминов и определений, тезаурусов предметной области, таблиц кодов данных и метаданных и др.
- унификация технологий — это использование согласованных принципов, подходов и инструментальных средств построения информационных технологий, соблюдение выработанных правил их взаимодействия (интерфейсов), применение типовых решений.
Главным направлением развития баз данных является их интеграция, то есть объединение различных дисциплинарных массивов в рамках одной базы данных, в нашем случае всех данных о состоянии природной среды (метеорологических, океанографических, гидрологических, геологических, биологических и др.). Это позволит устранить дублирование отдельных параметров, увеличить эффективность доступа к данным.
Таким образом, логично выделяются следующие цели, образующие обширное поле деятельности:
- предложить методику универсальной организации массивов данных
- получить механизм унифицированного доступа к информации
- применить новые разработки к существующим задачам.
Для достижения поставленных целей требуется решение следующих задач:
- создание средств надуровневой организации данных
- создание средств администрирования баз данных на неком абстрактном уровне
- создание универсального пользовательского интерфейса.
Представляется, что для решения поставленных задач целесообразно использовать подход, базирующийся на применении формальных методов, получающий в настоящее время все более широкое распространение в процессе разработки программного обеспечения.
1. Классификация CASE-средств
Современные case-средства проектирования информационных систем (СП) могут быть разделены на две большие категории. Первую составляют CASE-системы (как независимые (upper CASE), так и интегрированные с СУБД), обеспечивающие проектирование БД и приложений в комплексе с интегрированными средствами разработки приложений «клиент-сервер». Их основное достоинство заключается в том, что они позволяют разрабатывать всю ИС целиком (функциональные спецификации, логику процессов, интерфейс с пользователем и базу данных), оставаясь в одной технологической среде. Инструменты этой категории, как правило, обладают существенной сложностью, широкой сферой применения и высокой гибкостью. Вторую категорию составляют собственно средства проектирования БД, реализующие ту или иную методологию, как правило, «сущность-связь» («entity-relationship») и рассматриваемые в комплексе со средствами разработки приложений. Приведенное деление не претендует на полноту, и помимо указанных категорий, СП можно классифицировать по следующим признакам:
- степень интегрированности: отдельные локальные средства, набор частично интегрированных средств, охватывающих большинство этапов жизненного цикла ИС и полностью интегрированные средства, связанные общей базой проектных данных — репозиторием;
- применяемые методологиям и модели систем и БД;
- степень интегрированности с СУБД;
- степень открытости;
- доступные платформы.
В разряд СП попадают как относительно дешевые системы для персональных компьютеров (ПК) с весьма ограниченными возможностями, так и дорогостоящие системы для неоднородных вычислительных платформ и операционных сред. Так, современный рынок программных средств насчитывает около 300 различных CASE-систем, наиболее мощные из которых так или иначе используются практически всеми ведущими западными фирмами.
Данный обзор направлен, в первую очередь, на изучение возможностей использования существующих case-средств в области океанологии, а именно, для решения задач администрирования больших баз данных и унификации доступа к ним. Будет дана краткая характеристика средств Westmount I-CASE+Uniface и SILVERRUN+JAM, относящихся к первой категории и средств второго типа — Designer/2000+Developer/2000 и PowerDesigner.
2. Примеры применения формальных методов проектирования в предметной области
2.1. The National Geoscience Data Repository System (NGDRS)
Национальная геоинформационная система разработана Американским Геологическим Институтом для развития национальной сети общедоступных геоинформационных данных. Проект был запущен в 1994 году с целью определить потребность коммерческих компаний в подобных данных и наличии данных для представления в репозитории. Исследования показали, что объем информации составляет десятки миллионов записей различных типов, сводок и карт.
Вторая фаза проекта была завершена в 1997 году и реализовывала несколько пилотных проектов, направленных главным образом на систематизацию типов данных.
Уже на этапе реализации пилотных проектов, стала очевидной необходимость использования дополнительных уровней организации данных, что и было воплощено в третьей фазе проекта. Репозиторий метаданных позволил говорить о начале коммерческого использования данных. Для поддержания баз данных репозитория были использованы собственные разработки.
На сегодняшний день контрибьюторами репозитория являются не только добывающие компании, но и научные уреждения и другие центры данных. Данные используются в проектах во многих областях, таких как мониторинг и защита окружающий среды, мониторинг запасов воды и минералов, уменьшение ущерба от землетрясений и других стихийных бедствий, поддержка научных исследований и многих других.
2.2. DISKOS. The Norwegian Data Repository for Petroleum Data
DISKOS — это название национального репозитория данных, созданного по инициативе Norwegian Petroleum Directorate (NPD) и некоторых нефтяных компаний. Основной целью создания системы явилась попытка снижения стоимости получения данных. Кроме того, большие неунифицированные объемы информации порождали ряд очевидных дополнительных проблем. Проект был реализован в 1995 году рамках системы PetroBank, применяемой и в ряде других стран. Репозиторий содержит следующую информацию:
- сейсмические и навигационные данные
- данные о месторождениях полезных ископаемых
- данные по добыче и переработке
- исторические данные
Репозиторий системы PetroBank был смоделирован в соответствии с моделью данных POSC EPICENTRE. Система позволяет получить данные по запросу пользователя, составленному в соотвествии с правилами специального языка. Среднее время обработки запроса — 30 секунд. Полученные данные передаются на компьютер пользователя.
3. Обзор современных CASE-средств
3.1. Westmount I-CASE 3.2 (CADRE Technologies Inc.)
Westmount I-CASE представляет собой интегрированный программный продукт, обеспечивающий выполнение следующих функций:
- графическое проектирование архитектуры системы (проектирование состава и связи вычислительных средств, распределения задач системы между вычислительными средствами, моделирование отношений типа «клиент- сервер», анализ использования мониторов транзакций и особенностей функционирования систем в реальном времени)
- проектирование диаграмм потоков данных, «сущность-связь», структур данных, структурных схем программ и последовательностей экранных форм
- генерация кода программ на 4GL целевой СУБД с полным обеспечением программной среды и генерация SQL-кода для создания таблиц БД, индексов, ограничений целостности и хранимых процедур
- программирование на языке C со встроенным SQL
- управление версиями и конфигурацией проекта
- генерация проектной документации по стандартным и индивидуальным шаблонам
- экспорт и импорт данных проекта в формате CDIF.
Westmount I-CASE можно использовать в конфигурации «клиент-сервер», при этом база проектных данных может располагаться на сервере, а рабочие места разработчиков могут быть клиентами.
Westmount I-CASE функционирует на всех основных UNIX-платформах. В качестве целевой СУБД могут использоваться ORACLE, Informix, Sybase и Ingres.
В качестве отдельного продукта поставляется интерфейс Westmount-Uniface Bridge, обеспечивающий совместное использование двух систем в рамках единой технологической среды проектирования (при этом схемы БД, структурные схемы программ и последовательности экранных форм непосредственно в режиме on-line, без создания каких-либо файлов экспорта- импорта, переносятся в репозиторий Uniface, и, наоборот, прикладные модели, сформированные средствами Uniface, могут быть перенесены в репозиторий Westmount I-CASE. Возможные рассогласования между репозиториями двух систем устраняются с помощью специальной утилиты). В рамках версии Westmount I-CASE 4.0 предполагается обеспечить возможность функционирования клиентской части в среде Windows 95, а серверной — в среде Windows NT.
3.2. Rational Rose
Rational Rose — это инструментальное средство визуального моделирования для создания сложных коммерческих приложений (или КИС — корпоративных информационных систем), ориентированное на разработчиков архитектуры информационных систем и программистов.
Rational Rose, пожалуй, занимает лидирующие позиции на рынке продуктов для объектно-ориентированного анализа, моделирования, проектирования и инструментальных средств разработки для «серьезного использования».
К достоинствам продукта можно отнести следующие:
- поддержка множества языков программирования
- широкие возможности моделирования
- возможность одновременного ведения нескольких проектов
- возможность совместной разработки
- поддержка стандарта визуальной нотации — языка UML.
О богатстве возможностей Rational Rose можно судить хотя бы по стартовому меню версии Enterprise Edition:

Rational Rose поддерживает:
- генерацию кода и реинжениринг для нескольких языков, включая Visual Basic, C++, Java, PowerBuilder, CORBA Interface Definition Language(IDL), Data Definition Language для ольшинства СУБД, ERwin модели;
- визуальное моделирование, полностью совместимое с UML (Unified Modeling Language), который с 1997 года определен как стандарт языка для этой области инструментальных средств.
- драйверы, создаваемые многочисленными независимыми разработчиками инструментальных средств.

UML — Unified Modeling Language, — был разработан фирмой Rational Software и ее партнерами — крупными фирмами, разрабатывающими программные системы корпоративного уровня: Hewlett-Packard, IBM, i-Logix, ICON Computing, IntelliCorp, MCI Systemhouse, Microsoft, ObjecTeam, Oracle, Platinum Technology, Ptech, Reich Technologies, Softeam, Sterling Software и Unisys. UML — преемник языков визуального моделирования программных архитектур Booch’a, OOSE/Jacobson и OMT. Ряд крупных компаний уже используют UML как стандарт в процессе разработки крупных программных систем. UML служит для проведения бизнес-моделирования (см. цветную вставку), для управления требованиями, для анализа и проектирования архитектуры системы, для программирования и тестирования.

В Rational Rose поддерживается UML версии 1.0 наряду с ранее широко используемыми нотациями Буча и ОМТ. Это означает, что проектировщики и аналитики могут продолжать пользоваться, например, нотацией Буча, на которой основаны их прежние проекты, а затем возможно легко привести полученную модель проекта к UML нотации простым выбором установки нотации UML.
3.3. Uniface (Compuware)
Uniface 6.1 представляет собой среду разработки крупномасштабных приложений «клиент-сервер» и имеет следующую компонентную архитектуру:
- Application Objects Repository (репозиторий объектов приложений) содержит метаданные, автоматически используемые всеми остальными компонентами на протяжении жизненного цикла ИС
- Application Model Manager поддерживает прикладные модели, каждая из которых представляет собой подмножество общей схемы БД с точки зрения данного приложения
- Rapid Application Builder — средство быстрого создания экранных форм и отчетов на базе объектов прикладной модели. Оно включает графический редактор форм, средства прототипирования, отладки, тестирования и документирования. Реализован интерфейс с разнообразными типами оконных элементов управления (Open Widget Interface) для существующих графических систем — MS Windows (включая VBX), Motif, OS/2
- Developer Services (службы разработчика) — используются для поддержки крупных проектов и реализуют контроль версий, права доступа, глобальные модификации и т.д. Это обеспечивает разработчиков средствами параллельного проекти-рования, входного и выходного контроля, поиска, просмотра, поддержки и выдачи отчетов по данным системы контроля версий
- Deployment Manager (управление распространением приложений) — средства, позволяющие подготовить созданное приложение для распространения, установить и сопровождать его (при этом платформа пользователя может отличаться от платформы разработчика). В их состав входят сетевые драйверы и драйверы СУБД, сервер приложений (полисервер), средства распространения приложений и управления базами данных. Uniface поддерживает интерфейс практически со всеми известными программно- аппаратными платформами, СУБД, CASE-средствами, сетевыми протоколами и менеджерами транзакций
- Personal Series (персональные средства) — используются для создания сложных запросов и отчетов в графической форме, а также для переноса данных в такие системы, как WinWord и Excel.
Так как средства Westmount I-CASE и Uniface используется вместе, нельзя предложить использовать их в предметной области, по крайней мере, до выхода версии 4.0. Кроме того, предназначение для разработки больших систем делает их достаточно трудными в использовании, что не оправдывает себя, так как большая часть функциональности останется в рамках рассатриваемых задач невостребованной.
3.4. Designer/2000+Developer/2000 (Oracle)
Базу инструментальной среды Designer/2000+Developer/2000 составляют:
- методология структурного нисходящего проектирования
- поддержка всех этапов жизненного цикла прикладной системы, начиная с самых общих описаний предметной области до получения и сопровождения готового программного продукта
- ориентация на реализацию приложений в архитектуре «клиент-сервер» с использованием всех особенностей современных серверов баз данных, включая декларативные ограничения целостности, хранимые процедуры, триггеры баз данных, и с поддержкой в клиентской части всех современных стандартов и требований к графическому интерфейсу конечного пользователя
- наличие централизованной базы данных, репозитария, для хранения спецификаций проекта прикладной системы на всех этапах ее разработки. Такой репозитарий представляет собой базу данных специальной структуры, работающую под управлением СУБД ORACLE
- возможность одновременной работы с репозитарием многих пользователей. Такой многопользовательский режим почти автоматически обеспечивается стандартными средствами СУБД ORACLE. Централизованное хранение проекта системы и управление одновременным доступом к нему всех участников разработки поддерживают согласованность действий разработчиков и не допускают ситуацию, когда каждый проектировщик или программист работает со своей версией проекта и модифицирует ее независимо от других
- автоматизация последовательного перехода от одного этапа разработки к следующему. Для этого предусмотрены специальные утилиты, с помощью которых можно по спецификациям концептуального уровня (модели предметной области) автоматически получать первоначальный вариант спецификации уровня проектирования (описание структуры базы данных и состава программных модулей), а по последним после всех необходимых уточнений и дополнений автоматически генерировать готовые к выполнению программы
- автоматизация различных стандартных действий по проектированию и реализации приложения: предусматривается генерация многочисленных отчетов по содержимому репозитария, обеспечивающих полное документирование текущей версии системы на всех этапах ее разработки; с помощью специальных процедур предоставляется возможность проверки спецификаций на полноту и непротиворечивость и т.д.
Генератор серверной части автоматически строит по спецификациям базы данных тексты программ на языке SQL, используя все средства определения баз данных, включая триггеры, хранимые процедуры и т.д.
Генераторы клиентской части обеспечивают автоматическое формирование текстов программных модулей по их спецификациям, записанным в репозитарии. Все модули приложения классифицируются по типам, основными из которых являются экранные формы, отчеты, процедуры. Для каждого типа имеется свой генератор, результатом работы которого является программа, написанная на языке, соответствующем этому типу: генератор форм создает приложения для ORACLE/Forms, генератор отчетов позволяет получать процедуры на PL/SQL либо приложения для ORACLE/Report.
Исходной информацией для работы любого генератора служат спецификации таблиц базы данных и спецификации модулей. В спецификации модуля указываются такие его параметры, как наименование, тип, некоторые характеристики внешнего представления (заголовки, параметры). Кроме того, перечисляются, используемые таблицы базы данных, и для каждой из них специфицируется, какие операции к ней могут применяться (выборка, ввод записей, корректировка, удаление), какие ее столбцы и каким образом участвуют в работе модуля.
Каждый используемый столбец может описываться разнообразными описателями, включая форматы вывода, способы упорядочения, основные типы операций над данными, возможность автоматической генерации значений при вводе новых записей и др. В простейших же случаях можно использовать их стандартные значения, задаваемые по умолчанию, что существенно сокращает время на получение первоначальной версии работающей программы.
Кроме этой информации об особенностях модуля генератор использует спецификации таблиц базы данных и взаимосвязей между ними. Это позволяет при описании в репозитарии собственно модуля не заботится об указании, каким образом связаны используемые таблицы, из каких таблиц берутся данные для заполнения того или иного столбца, какие дополнительные действия необходимо выполнить при изменении содержимого данной таблицы, чтобы не нарушить целостность всей базы данных (так, при удалении записи из таблицы может потребоваться проверка, не ссылаются ли на нее записи из других таблиц) и т.п.
Генератор, анализируя структуру базы данных, автоматически создаст правильный список возможных значений и включит в текст программы все необходимые проверки на правильность вводимых данных. Такой принцип работы генераторов особенно существенен для поддержки прикладной системы: при необходимости изменения схемы базы данных (добавилась новая таблица, логически связанная с уже существующими, или изменился тип некоторой взаимосвязи между базовыми таблицами и т.п.) можно не вносить никаких изменений в старые спецификации модулей, а лишь перегенерировать их и все необходимые изменения в тексты программ будут внесены автоматически.
Несмотря на то, что спецификации модуля в репозитарии описывают его лишь в самом общем виде без уточнения различных деталей внешнего представления форм и отчетов, особенностей функционирования, существует возможность дополнительной «настройки» с помощью многообразных параметров, управляющих работой генераторов.
3.5. SILVERRUN+JAM (Computer Systems Advisers, Inc)
CASE-система SILVERRUN американской фирмы Сomputer Systems Advisers, Inc. (CSA) используется для инструментального обеспечения анализа и проектирования информационных систем бизнес-класса. Она применима для поддержки любой методологии, основанной на раздельном построении функциональной и информационной моделей (диаграмм потоков данных и диаграмм «сущность-связь»).
Настройка на конкретную методологию обеспечивается выбором требуемого графического изображения символов моделей и набора правил проверки проектных спецификаций. В системе имеются готовые настройки для наиболее распространенных методологий: Gane/Sarson, Yourdon/DeMarco, Merise, Ward/Mellor, Information Engineering. Для каждого проектного понятия имеется возможность добавления собственных описателей.
SILVERRUN состоит из трех основных подсистем: модуля построения диаграмм потоков данных BPM (Business Process Modeler) и двух модулей построения диаграмм «сущность-связь»: концептуальных моделей — модуль ERX (Entity Relationship eXpert) и реляционных моделей — модуль RDM (Relational Data Modeler). Каждый модуль является самостоятельным продуктом и может приобретаться и использоваться отдельно. Для интеграции подсистем в единое целое служит менеджер репозитория WRM (Workgroup Repository Manager).
Встроенный в модуль RDM генератор схем баз данных позволяет получить операторы определения данных (DDL) для 16 СУБД. Но для полного использования специфики каждой СУБД следует использовать отдельно приобретаемые мосты, позволяющие как получить схему базы данных из модели, так и построить модель существующей базы данных. SILVERRUN имеет мосты к следующим СУБД: DB2, Informix, Ingres, Oracle, Progress, SQL Base, SQL Server, Sybase.
Для обмена данными с языками разработки приложений также используются соответствующие мосты. В настоящее время существуют мосты к следующим средствам разработки приложений: Object Studio, Omnis 7, PowerBuilder, Progress, SQL Windows, Synon 2/E, Uniface. Таким образом, из модулей можно собрать систему требуемого масштаба: от диаграммера до среды разработки приложений для конкретного языка программирования
и СУБД. Заменяемость мостов позволяет использовать единые модели в ситуациях, когда разные подразделения или филиалы организации используют разные СУБД и средства разработки приложений. Создатели обещают широкие возможности адаптации инструмента и возможность использования его практически на любой стадии разработки системы.
Сама система SILVERRUN функционирует на четырех платформах: Windows, OS/2, Macintosh, Solaris. Коллективная разработка в стандартной версии поддерживается разделением и слиянием моделей. В версии SILVERRUN Enterprise поддерживается одновременный коллективный доступ к репозиторию. Между версиями разных платформ обеспечен обмен данными, что позволяет вести одновременную разработку в разнородной среде, как в сетевом, так и в одиночном режимах. Модели могут быть построены как «с нуля», так и унаследованы от концептуальных моделей данных SILVERRUN-ERX или получены путем реинжениринга из нескольких возможных форматов БД.
При помощи данного средства могут разрабатываться как простые приложения, так и сложные распределенные гетерогенные базы данных. Поддерживаются многоуровневые модели, предоставляются возможности, как для интеграции подсистем, так и независимой работы с логически выделенными компонентами.
Имеется возможность работы с такими системами как PowerBuilder, NewEra, Centura, Uniface, Progress, Entera, Delphi, Synon 2/E и Object Studio, поддерживаются многие форматы БД, среди которых Informix, Oracle, DB2, Sybase, Microsoft SQL Server, Progress. Система имеет интуитивно понятный интерфейс, в использовании достаточно легка для продуктов в своей области, и управляется большей частью при помощи мыши. Перечислим основные преимущества данного средства:
- Среда моделирования
- удобный интерфейс
- возможнисти легкого повторного использования компонентов
- хорошее графическое представление модели
- расширяемый словарь системы моделирования, другие пользовательские настройки
- Представление модели
- интеграция с SILVERRUN-ERX
- поддержка нескольких нотаций и методологий, среди которых Gane-Sarson, Yourdon, Ward-Mellor.
- пользователькие форматы обозначений
- неограниченное число уровней вложенности
- Разработка и генерация БД
- поддержка Informix, Oracle, Sybase, Microsoft SQLServer, DB2, Ingres и Progress
- проверка целевой системы на соответствие модели

- возможность использования нескольких физических БД различных форматов в рамках единой логической модели
- генерация полной проектной документации
- Организация работы
- многопользовательский режим (в SILVERRUN-Enterprise), специальные средства для организации параллельной работы
- версии для платформ Windows и Solaris
- открытая среда (форматы данных)
SILVERRUN представляется наиболее динамично развивающимся продуктом среди рассматриваемых, однако он также не содержит средства, которые бы позволили решать вопросы унифицированного доступа к БД, как и Westmount I-CASE, что делает возможным рекомендовать его только для решения первой из поставленных задач.
3.6. S-Designer (PowerSoft)
S-Designor — графический инструмент для проектирования структуры реляционных баз данных. S- Designor реализует популярную методологию информационного моделирования, основанную на представлении информационных объектов и взаимосвязей между ними в виде ER-диаграммы («сущность-связь»). Используемая в S-Designer нотация — IE (Information Engineering).
В S-Designer эффективно реализована связь как со множеством современных СУБД, так и со средствами разработки приложений. По завершении разработки модели данных S-Designer генерирует пакеты SQL-предложений для широкого набора СУБД, включая Oracle, Ingres, Informix, Sybase, RDB, SQL Server, DB2, AS/400, SQLBase, Access и Paradox. Имеется встроенный ISQL. Для поддерживаемых СУБД автоматически генерируются триггеры, обеспечивающие ссылочную целостность. Предусмотрена возможность редактировать хранимые процедуры непосредственно при подготовке физической модели. Для обеспечения сопровождения существующих систем S-Designer позволяет проводить восстановление модели по структуре базы данных (БД). В течение всего цикла разработки модели данных с помощью S- Designor могут быть получены разнообразные отчеты по модели.
На этапе проектирования модели данных S-Designer дает возможность определить элементы пользовательского интерфейса будущих приложений, работающих с проектируемой базой данных. Это достигается редактированием репозиториев систем 4GL. В качестве средств разработки поддерживается PowerBuilder, TeamWindows, Progress, Uniface и другие.
S-Designor работает в среде Microsoft Windows и Windows NT. Он совершенно не требователен к ресурсам — для его использования достаточно компьютера с процессором 386SX и объемом памяти от 4 мегабайт. В S-Designor присутствуют элементы, характерные для программ редактирования — линейка инструментов, интерфейс » drag-and-drop», импорт/экспорт графических файлов, инструменты для создания стандартных графических элементов, управление цветом и шрифтовым выделением. При работе с S-Designor сразу заметны очень высокая скорость отрисовки диаграммы и эффективная реализация интерфейса к СУБД.
Развитые средства быстрого редактирования объектов модели и достаточно полный набор средств управления расположением объектов на диаграмме — характерные черты, делающие S- Designor особенно привлекательным. Процесс построения информационной модели данных состоит из следующих шагов:
- определение сущностей
- определение зависимостей между сущностями
- задание первичных и альтернативных ключей
- определение атрибутов сущностей
- переход к физическому описанию модели (выполняется автоматически)
- редактирование имен таблиц и их атрибутов на физическом уровне (если в модели имеются, например, связи «многие ко многим» или иерархические рекурсивные связи и их надо уточнить)
- проектирование триггеров, процедур и ограничений
- генерация базы данных
С точки зрения перспектив использования в предметной области данное средство может представлять интерес только на начальных этапах, либо для простого, не требующего трудоемкого внедрения, решения ограниченного круга текущих задач, например, упрощения процедуры внесения изменений в структуру базы данных, и не может быть применено в качестве сколько-нибудь комплексного решения.
3.7. PowerDesigner (Sybase)

PowerDesigner служит для разработки структуры базы данных и генерации ее в целевой системе. Предоставляются возможности работы в терминах объектно-ориентированной, концептуальной или физической моделей. Пользовательская рабочая среда отображается в виде иерархии объектов, таких как модель, отчет, пакет, внешние документы и т.д. PowerDesigner реализует следующие возможности:
- проверка модели (выбранных объектов или всей модели), с отображением и сохранением полного результата тестирования
- проверка модели на соответствие целевой системе
- синхронизация модели и целевой системы (с автоматическим или ручным принятием решений)
- настройка целевого формата
- генерация целевой системы
Таким образом, от S-Designer это средство принципиально отличает, пожалуй, возможность синхронизация модели и целевой системы, что весьма важно для рассматриваемой области.
Заключение
В табл. 1 приведена краткая сравнительная характеристика перечисленных выше СП. Анализ данных, приведенных в таблице, показывает, что из перечисленных СП только комплекс Westmount I-CASE+Uniface наиболее полно удовлетворяет всем критериям, принятым в качестве основных. Так, например, в комплексе Westmount I-CASE+Uniface целостность базы проектных данных и единая технология сквозного проектирования ИС обеспечивается за счет использования интерфейса Westmount-Uniface Bridge. Следует отметить, что каждый из двух продуктов сам по себе является одним из наиболее мощных в своем классе.
С другой стороны, реализация в среде Unix существенно ограничивает круг использования этого средства в предметной области. Также не следует забывать, что применение СП требует от потенциальных пользователей специальной подготовки и обучения. Опыт показывает, что внедрение СП осуществляется медленно, однако по мере приобретения практических навыков и общей культуры проектирования эффективность применения этих средств резко возрастает, причем наибольшая потребность в использовании СП испытывается на начальных этапах разработки, а именно на этапах анализа и спецификации требований. Это объясняется тем, что цена ошибок, допущенных на начальных этапах, на несколько порядков превышает цену ошибок, выявленных на более поздних этапах разработки. В этом свете более выигрышно смотрится перспектива использования SILVERRUN-JAM, имеющей, как представляется, наиболее дружелюбный интерфейс.
Использование Rational Rose потенциально интересно из-за широкого набора инструментов и поддерживаемых форматов, а также, что важно на начальном этапе, возможности получения «быстрого» решения. Однако, для реализации более серьезных проектов может оказаться критичным привязанность данного инструмента к средствам реализации.
Таким образом, в настоящее время известные автору средства, могут решать, в какой-то степени, только вопрос администрирования базы данных. Для решения небольших текущих задач можно использовать PowerDesigner, внедрение же SILVERRUN-JAM будет неоправданно дорогим по сравнению с полученными преимуществами, так как задача унифицированного доступа не решается его средствами.
Таблица 1
| Характеристики | West-mount I-СASE + Uniface | Rational Rose | Designer/2000 Developer/2000 |
SILVERRUN + JAM | Power Designer |
|---|---|---|---|---|---|
| Поддержка полного цикла разработки ИС | + | + | + | + | — |
| Обеспечение целостности проекта | + | + | + | — | — |
| Целевые форматы | ORACLE, Informix, Sybase, Ingres и др., dbf-файлы | ORACLE, Informix, MS SQL и др. | ORACLE | ORACLE, Informix, Sybase, Ingres идр. | ORACLE, Informix, Sybase, поддержка ODBC |
| Платформы | Большинство платформ UNIX. Windows планируется в версии 4.0 | Windows | Windows | Windows, OS/2, Macintosh Solaris | Windows |
| Одновременная групповая разработка БД и приложений | + | + | работа с базой данных только после завершения ее проектирования | ||
|
Е.Д.Вязилов, д.т.н. (ВНИИГМИ-МЦД), В.П. Синецкий, д.в.н.(СОПС)
ЭЛЕКТРОННЫЕ ЖУРНАЛЫ В ОБЛАСТИ МОРСКИХ НАУК
В настоящее время явно ощущается необходимость в создании электронных научных журналов, в которых можно было бы оперативно публиковать новые научные результаты полученные российскими учеными и специалистами. И практика подтверждает такую потребность. Многие журналы, выпускаемые ранее на бумажной основе, сейчас имеют электронный вариант издания, например «Наука и жизнь» https://nauka.relis.ru, журнал «Природа» имеет на сайте https://vivovoco.nns.ru/VV/NEWS/PRIRODA/2000/PR_12_00.HTM 12 выпусков за 2000 г., в журнале помещаются новости науки, калейдоскоп, рецензии, новые книги. Многие журналы создают свои домашние страницы, в которых дается только содержание и аннотация выпускаемых журналов, например, издательство «Судостроение» на сайте https://www.setcorp.ru/mjournal/index.html публикует информацию о «Морском журнале», журналах «Судостроение» (https://www.setcorp.ru/sudostroenie/index.html), «Судоходство» (https://www.sudohodstvo.com); содержание журнала «Морская индустрия» можно найти на сайте https://morind.chat.ru. Появились электронные журналы и в области исследования морской среды, например, Государственный научно-исследовательский навигационно-гидрографический институт выпускает с 1996 г. научно-технический журнал «Навигация и гидрография», последние номера (6 и 7 выпуски) можно найти по адресу https://www.navy.ru/editions/nh/7.htm.
Результаты фундаментальных исследований можно опубликовать в электронном многопредметном научном журнале «Исследовано в России». Учредителем журнала является Московский физико- технический университет. Журнал официально зарегистрирован в Депозитарии электронных изданий НТЦ «ИНФОРМРЕГИСТР» 4 марта 1999 г. Журнал издается в электронном виде и не имеет бумажной версии, но все его материалы периодически переписываются на CD-ROM и хранятся неопределенно долгое время. Журнал признается научным изданием, допустимым для опубликования содержания диссертаций. Журнал принимает для публикации статьи, относящиеся ко всем областям естественных и гуманитарных наук. Все принятые для опубликования статьи размещаются в на WWW-сервере МФТИ zhurnal.ape.relarn.ru. Статьи публикуются по мере поступления. Организована рассылка перечней опубликованных статей по подписке через электронную почту.
Научный, научно- популярный и образовательный Интернет — журнал «Ломоносов» https://lomonosov.rambler.ru:8100/dbl издается совместно коллективами Московского государственного университета им. М.В. Ломоносова и Интернет- компании «Рамблер». Материалы могут быть представлены к опубликованию в следующих разделах: статьи (научные, научно-популярные, просветительные); «Книжная полка», где предусмотрена возможность размещения «визитной карточки ученого»; «Универсальная энциклопедия»; «Новости науки и образования»; «Твои университеты» — образовательные материалы. Здесь публикуются также материалы информационного характера, объявления о конференциях, событиях, сведения о фондах, грантах, информация о научных и образовательных организациях, статические и справочные данные.
Можно привести еще несколько электронных изданий — Ежеквартальный журнал о проблемах экологии «Океан и бизнес» https://www.delin.stl.ru, Международный англоязычный журнал по аквакультуре » Aquaculture (Нидерланды), https://www.elsevier.nl/locate/aquaculture, журнал «Порты Украины», https://www.uports.odessa.ua, Международный журнал морского бизнеса «JURA», https://www.jura.lt/index_rus.htm (Литва), Научно-популярные журналы «Зов Тайги» https://www.zovtaigi.ru/news/index.shtml?news; журнал «Северная Пацифика» (https://np.rybvod.kamchatka.su/np/magazin), обсуждающий актуальные проблемы сохранения и использования биоресурсов северной части Тихого океана, а также проблемы международной консолидации в вопросах природопользования и сохранения природных ресурсов и др. Кроме того, существуют журналы в виде информационных сайтов, так Международная общественная организация «Наука и техника» публикует научные статьи, книги, которые находятся по адресу https://www.n-t.org; на портале «Интерневод» по адресу https://www.internevod.com/rus/academy/sci/04 находится журнал «Морская индустрия», в котором представляются статьи в области рыболовства, состояния биоресурсов, влияние среды на них; региональный справочно- информационный сайт «Мурманские рыбные ресурсы» находится по адресу (https://www.murfish.ru/); информационный бюллетень «Рыбный Курьер» -( https://fishnet.ru/ryb_courier/cto.shtml), публикующий международные рыбные новости (рыбный бизнес); в электронный журнал Fish.Ru (https://www.fish.ru) включены 6 рубрик, в том числе новости бизнеса, обзор рыбных цен в Санкт-Петербурге с прогнозной оценкой на ближайшие 30 дней; промышленно корпоративный сайт «Судостроение, электротехника, транспорт» (https://www.setcorp.ru/mt/index.html) публикует новости транспортного бизнеса; общественно — политический электронный журнал «Рыболовство России» представлен двумя последними номерами на сайте «Национальные рыбные ресурсы» (https://www.nfr.ru/izdat.htm.
На сайте ГЕОИНФОРМАРК Министерства природных ресурсов РФ (https://www.geoinform.ru) представлено несколько электронных журналов «Минеральные ресурсы России: экономика и управление», «Геология нефти и газа», «Экономические и правовые вопросы недропользования в России».
Журнал «Минеральные ресурсы России» публикует материалы по проблемам топливно-энергетического комплекса и горнодобывающей промышленности. Основные разделы журнала включают современное состояние и перспективы развития минерально-сырьевой базы России; экономическая политика и управление минерально-сырьевым комплексом; правовое обеспечение недропользования; рынок минерального сырья; новости, хроника, информация; инвестиционные проекты, новые техника и технологии
Журнал «Геология нефти и газа» публикует статьи по следующей тематике: проблемы нефтегазовой геологии, ресурсы нефти и газа, экономика ГРР, перспективы нефтегазоносности и обоснование направлений ГРР; строение нефтяных и газовых месторождений; формирование и размещение залежей нефти и газа; планирование и методы оценки эффективности ГРР; коллекторы нефти и газа; геофизические, геохимические и гидрогеологические исследования; подсчет запасов; разработка месторождений; техника и технология; испытание и освоение пластов; проблемы экологии.
В журнале «Экономические и правовые вопросы недропользования в России публикуются: официальные документы по вопросам недропользования, включая законодательные акты, указы и распоряжения Президента России; постановления и распоряжения Правительства России; распоряжения, приказы и нормативно методические документы МПР России и смежных ведомств; проекты законодательных актов и информация об их прохождении в органах государственной власти; информация о парламентских слушаниях по важнейшим проблемам минерально-сырьевого комплекса; объявления о конкурсах и аукционах на получение права поисков, разведки и добычи полезных ископаемых; информация о состоянии лицензирования пользования недрами (сведения о выдаче, изъятии и переоформлении лицензий, материалы проверок выполнения лицензионных соглашений, результаты судебных исков), о проектах, осуществляемых на условиях соглашений о разделе продукции (от конкурса до заключения соглашений), о совершенствовании процедуры платежей при добыче полезных ископаемых, о «болевых» вопросах ТЭКа.
Наиболее интенсивно идет процесс создания электронных журналов в области информатизации и компьютеризации. Наиболее популярным и информативным можно считать издательство «Открытые системы» (https://win.www.osp.ru) , которое издает несколько электронных журналов (Computerworld Россия, Мир ПК, Журнал сетевых решений, Lan Сети, Открытые системы, СУБД, Windows 2000 Magazine, Директору ИС). Очень много полезных публикаций в области программных продуктов можно найти на сайте https://www.interface.ru.
Безусловно, в ближайшие годы многие издания следует ожидать существенного увеличения электронных изданий, каждое издательство будет иметь свои электронные варианты изданий. Наш журнал будет периодически публиковать сведения о них, а также отражать в поисковой системе «Путешествие по информационным ресурсам» на сайте https://www.meteo.ru/nodc/Travel_e/index.htm.
|
А.А. Воронцов (ВНИИГМИ-МЦД), Ю.Н. Жуков (ГосНИНГИ)
К ВОПРОСУ О ЗАКОНЕ РАСПРЕДЕЛЕНИЯ ЭКСТРЕМАЛЬНЫХ ЗНАЧЕНИЙ ГИДРОМЕТЕОРОЛОГИЧЕСКИХ ХАРАКТЕРИСТИК ПРИ СОЗДАНИИ ЭСП В ЕСИМО
Cоздание электронных режимно- справочных пособий (ЭСП) по морской природной среде (это четвертое направление работ по созданию ЕСИМО) — это многоаспектная задача. Один из ее аспектов: определение метода выбора репрезентативных данных при оценивании средних значений консервативных характеристик морской воды был рассмотрен в [1]. Другой, немаловажный вопрос — выбор функции распределения экстремальных значений гидрометеорологических характеристик (очевидно, что данный вопрос затрагивает и задачи проектирования, и оценки аварийности и надежности, и многое другое). Особое внимание этому вопросу уделено потому, что в случае распределения экстремумов гидрометеорологических характеристик не по экспоненциальному закону, как это свойственно нормально распределенным случайным величинам, а по другому, то все оценки могут измениться, в том числе и оценки ущерба от экстремальных значений значительно выше (далее можно не говорить о следствиях).
Теоретической основой этой работы является классическая теория экстремумов [2], в которой рассматривается распределение максимума
,
где
независимых и одинаково распределенных случайных величин
с функцией распределения
при больших значениях .
Основной результат этой теории утверждает, что если для некоторых последовательностей нормирующих констант , случайная величина
имеет невырожденную предельную функцию распределения
, то эта функция
должна иметь одну из трех возможных форм
Тип 1:
, ;
Тип 2:
Тип 3:
В частности доказывается, что «хвосты» всех функций распределения
имеют только два типа:
— экспоненциальный (
) для типа 1 (например, для нормального закона распределения);
— степенной (
, ) для типов 2 и 3.
Так как прямыми статистическими оценками рядов наблюдений нельзя оценить поведение «хвоста» распределения в силу редкости экстремальных событий, то используется косвенный прием. Воспользуемся тем, что поведение «хвостов» распределений разбивает все множество невырожденных распределений случайных величин на два класса эквивалентности — степенной и экспоненциальный. Причем линейные статистики не нарушают этого разбиения.
Выберем такую статистику для временного хода гидрометеорологической характеристики , которая приводит к случайной величине
распределенной по некоторому закону
, для которой известен из классической теории экстремумов тип распределения его «хвоста». Тогда такой же тип распределения «хвоста» будет у значений экстремумов гидрометеорологической характеристики.
В качестве линейной статистики воспользуемся статистикой Герста, которая имеет вид [3]:
,
где
.
Оценим функцию распределения случайной величины полученную с помощью этого преобразования. Обработка временных рядов гидрометеорологических характеристик (высот поверхностного волнения, уровня, значений температуры воды и т.д.) показывают, что
~
,
где 1/2 <
< 1.
Следовательно, статистика Герста определяет случайную функцию, распределенную по степенному закону, который как доказывается в теории экстремумов имеет степенное распределение «хвоста». Значит и «хвосты» гидрометеорологических характеристик имеют степенное распределение. Ущерб от экстремального значения гидрометеорологической характеристики очевидно является некоторой степенной функцией от величины экстремума
~
, .
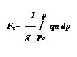
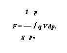
Если в качестве количественной оценки влияния экстремальных значений гидрометеорологических характеристик при проектировании использовать математическое ожидание ущерба
,
где
— функция плотности распределения «хвоста» гидрометеорологической характеристики, то очевидно получаем:
.
(Для нормального закона распределения
при любом
).
Так как ~1, то вероятнее всего большое влияние «хвоста» распределения на величину ущерба от возникновения экстремального значения гидрометеорологической характеристики.
Таким образом, экстремальные значения гидрометеорологических характеристик распределены не по экспоненциальному закону, как это свойственно нормально распределенным случайным величинам, а по степенному закону.
1. Воронцов А.А., Жуков Ю.Н., Федорова Е.В. Оценивание средних значений консервативных характеристик морской воды при создании ЭСП в ЕСИМО//Newsletter «Новости ЕСИМО», https://www/oceaninfo.ru/news/newsl.htm, вып.7., апрель — июнь 2001 г.
2. Лидбеттер М., Ротсен Х., Линдгрен Г. Экстремумы случайных последовательностей и процессов. М., Мир, 1989, 392 с.
3. Федер Е. Фракталы. М., Мир, 1991, 260 с.
|
А.А. Воронцов (ВНИИГМИ-МЦД), Ю.Н. Жуков (ГосНИНГИ)
УНИФИКАЦИЯ ИНТЕРПОЛЯЦИОННЫХ МЕТОДОВ ДЛЯ ПОСТРОЕНИЯ ГИДРОМЕТЕОРОЛОГИЧЕСКИХ ПОЛЕЙ В ЕСИМО НА ОСНОВЕ ГИС-технологии
При изучении пространственно-временного распределения различных гидрометеорологических характеристик как правило используется их отображение на карте с привязкой к географическим координатам. И, естественно, в ЕСИМО этому вопросу уделяется особое внимание. Особое потому, что этой системе применяются современные ГИС.
В большинстве научных областей существуют свои «внутренние» методы расчета и отображения исследуемых полей в географических координатах. Для задач ЕСИМО предлагается единый подход к построению информационной основы совместной визуализации различных геофизический полей в ГИС-приложениях. Ключевой момент, на наш взгляд, — это этап предварительной обработки исходной информации, который включает в себя процедуру интерполяции. Именно этот этап мы выделяем в настоящей работе.
Исходная задача интерполяции обычно формулируется следующим образом. На плоскости, касательной к земной поверхности, имеются точки (
), являющиеся элементами множества
,
, в которых заданы значения некоторой геофизической характеристики . В общем случае эти точки расположены произвольным образом. Для визуализации поля геофизической характеристики необходимо выбрать класс непрерывных функций, к которому относится исследуемое поле, и определить в этом классе искомую функцию. Если требуется, чтобы функция проходила точно через значения , то это задача интерполяции, а если требуется, чтобы функция подходила как можно «ближе» (в соответствии с некоторым функционалом) к значениям , то это задача аппроксимации.
Необходимым промежуточным шагом интерполяции является организация сети связей между координатными точками. Точки, в которых заданы значения функции, произвольны, поэтому наиболее подходящим для построения сеточной области является способ триангуляции. Существуют различные алгоритмы триангуляции (в общем случае приводящие к различным триангуляциям): выпуклое обминание, триангуляция с минимальным краем, «жадная» триангуляция и т.д. В настоящее время в большинстве приложений используется триангуляция Делоне (ТД). Она (в общем положении) строится однозначно и соединяет опорные точки в сеть локально наиболее правильных треугольников. Для того, чтобы триангуляция была ТД, необходимо и достаточно, чтобы внутри окружности, описанной вокруг любого из треугольников, не лежало больше ни одной вершины ТД. Для обеспечения этого условия построению триангуляции предшествует вспомогательный шаг — разбиение множества точек на области Вороного [3].
Область Вороного некоторой точки — это множество точек плоскости, для которых расстояние до меньше, чем до любой другой точки множества
. Нахождение областей Вороного для всех точек множества
сводится к разбиению плоскости на области, каждая из которых является множеством точек, более близких к некоторой точке множества
, чем к любой другой. Структура такого разбиения следующая. Если имеются две точки и
, то множество точек, более близких к , чем
, есть не что иное, как полуплоскость, содержащая точку и определяемая прямой, перпендикулярной отрезку
и делящей его пополам. Обозначим эту полуплоскость
. Множество точек, более близких к , чем к любой другой точке, которое будем обозначать , получается в результате пересечения полуплоскостей. Это множество является выпуклой многоугольной областью, имеющей не более сторон.
Таким образом
. Область называется многоугольником Вороного, соответствующим точке . Получаемые таким образом
областей образуют разбиение плоскости, представляющее некоторую сеть, называемую диаграммой Вороного. Диаграмму Вороного множества точек
будем обозначать
. На рис. 1 приведен пример диаграммы Вороного. Вершины многоугольников определяют вершины диаграммы Вороного, а соединяющие их отрезки — ребра диаграммы Вороного. Каждая из
исходных точек множества принадлежит в точности одному многоугольнику Вороного. Поэтому, если , то является ближайшим соседом точки . Диаграмма Вороного содержит всю информацию о близости точек соответствующего множества. Рассмотрим теперь граф, двойственный диаграмме Вороного, т.е. граф, уложенный на плоскости и получаемый в результате соединения отрезками каждой пары точек множества
, многоугольники Вороного которых имеют общее ребро. В результате получается граф с вершинами в исходных
точках (рис. 1). Важность двойственного графа обусловлена теоремой Делоне: граф, двойственный диаграмме Вороного, является триангуляцией множества
. Время триангуляции не хуже
, различные алгоритмы можно найти в [3].

Таким образом, ТД — быстрый и естественный способ задания связей между произвольно расположенными точками на плоскости. Этот способ допускает эффективную и устойчивую машинную реализацию и различные обобщения. Поскольку в каждой точке множества
задано значение функции, то ТД исходных данных естественным образом соответствует непрерывная, кусочно-линейная поверхность в пространстве, состоящая из отдельных треугольников. Вообще говоря этим можно и удовлетвориться. Однако, по непонятным причинам стараются получить гладкую поверхность функции, т.е. сводят задачу к построению гладкой функции
, проходящей через заданные точки .
С математической точки зрения эта задача некорректна. Если построена одна такая поверхность, то существует бесконечно много других функций из этого класса функций, удовлетворяющих условию задачи. Эти функции можно получить, добавляя к найденной функции произвольные функции, умноженные на произведение . Поэтому удержаться в рамках чистой постановки задачи не удается и приходится добавлять некоторые эвристические критерии. В простейшем случае поверхности приписывают некоторую «жесткость» и из всех гладких функций, проходящих через опорные точки, выбирают поверхность, обладающую минимальной энергией упругой деформации. Другим способом разрешения проблемы является путь, на котором требуется задание дополнительной информации о пространственном поведении функции. Например, кроме значений функций требуется задание ее производных в точках множества
. Из сказанного очевидно, что вид получаемой поверхности будет зависеть от выбранного алгоритма сглаживания, при этом степень ее несоответствия реальной поверхности в традиционных методах даже не обсуждается. Более того, рельеф реальных геофизических полей наиболее адекватно описывается фрактальными функциями. В частности, в [4] приводятся результаты исследований топографических поверхностей, которые свидетельствуют о ее фрактальном характере. Учитывая это свойство топографических поверхностей, становится ясно, что традиционные методы сглаживания применять нельзя, так как фрактальные поверхности по определению всюду не дифференцируемые функции, тогда как применяемые сейчас методы сглаживания приводят к дифференцируемым поверхностям. Потому из традиционной технологии построения карт рельефа для ГИС-приложений можно взять только метод триангуляции, а для интерполяции требуются новые методы. В качестве такого метода мы предлагаем использовать метод фрактальной интерполяции [5].
Этот метод основан на конструировании самоафинной фрактальной поверхности посредством системы итерируюших функций [2]. Для простоты, рассмотрим этот метод применительно к самоафинной фрактальной кривой. Пусть является афинным преобразованием плоскости. В матричной записи это преобразование может быть записано для некоторой точки плоскости (
) в виде
.
Положим, что это преобразование является сжимающим отображением, т.е
,
и пусть
и
являются фиксированными точками
и
, т.е такие, что
. Кроме того, для того чтобы участки ломанной
соединялись образовывая форму открытого полигона необходимо, чтобы
,
,
Тогда инвариантная кривая
соответствующая преобразованию
, может быть сконструирована рекурсивно, в форме самоафиннной кривой, путем замещения на каждом шаге генерации
линейных сегментов
. Здесь — означает компзицию из отображений . При этом начальный набор точек
,
, интерполируются аттрактором
в соответствии с «правилом конструирования» самоафинной кривой с учетом изменчивости имеющиемся в исходном наборе точек, причем структура этой изменчивости будет воспроизводится на каждом следующем шаге алгоритма с учетом масштаба на котором производится интерполяция.
Пример самоафинной функции с четырьмя исходными сегментами кривой представлен на рис. 2. В этой интерполирующей процедуре параметр , является свободным параметром. Он управляет «размахом» кривой, замещающей участок ломаной. Влияние этого масштабирующего параметра на форму конечного аттрактора демонстрируется двумя вариантами. Слева на рис. аттрактор создан для нескольких различных значений , тогда как справа
был выбран однаковым для всех шагов интерполяции.

, интерполированны с использованием самоафинной конструкции [7].Этот метод легко обобщается для интерполяции фрактальных поверхностей. В этом случае сжимающее афинное отображение представляется в виде
с дополнительными условиям на сжимающее отображение координат плоскости на которой задана поверхность
,
,и
, .
Последнее условие обеспечивает отсутствие самопересечения. Предлагаемый подход обобщается до использования рандомизированных итерирующих функций. В данной статье остался неосвещенным вопрос о том как получить параметры итерирующих функций. Очевидно, что они должны быть получены на основании имеющегося набора известных значений геофизическогой характеристики в точках измерений.
В теории фракталов эта задача носит название обратной фрактальной проблемы. С нашей точки зрения, для решения этой задачи наиболее целесообразно использовать вейвлет-преобразование [6], так как при его использовании в ГИС-приложениях для генерализации геофизических полей, теоретически, не возникает никаких искажений (в работе [1] нами показано, что вейвлет-анализ является адекватным аппаратом генерализации гидрометеорологических полей в геоинформационных системах).
Таким образом, можно говорить, что существуют альтернативные методы интерполяции рельефа геофизических полей, которые адаптированы к фрактальному характеру изменчивости реальных природных геофизических процессов. Именно эти методы и рекомендуется применять для конкретных задач морской природной среды при использовании ГИС-технологий, в первую очередь в создаваемой многофукнциональной системе ЕСИМО.
- Воронцов А.А., Жуков Ю.Н., Федорова Е.В. Генерализация гидрометеоинформации в ГИС / В сб.: Геодиск’2001 N 5 «От Форума до Форума». ГИС-Форум. 2001. Научные и теоретические проблемы, М.: ГИС-Ассоциация, 2001 г.
- Кроновер Р.М. Фракталы и хаос в динамических системах. М., Постмаркет, 2000.
- Препарата Ф., Шеймос М. Вычислительная геометрия: введение. М.,Мир,1989.
- Федер Е. Фракталы. М., Мир,1991.
- Barnsley M.F. Fractals Everywhere. Academic Press, NY, 1988.
- Struzik Z.R. The wavelet transform in the solution to the Inverse Fractal Problem. // Fractals, Vol. 3, N. 2, 1995, 329-350.
- Struzik Z.R. Fractal under the microscope. 1997.
|
Н.А.ВЯЗИЛОВА (ВНИИГМИ-МЦД)
АЗИАТСКИЙ МУССОН, ЮЖНОЕ КОЛЕБАНИЕ И КРУПНОМАСШТАБНЫЙ ВЛАГООБМЕН В ТРОПИЧЕСКОМ РЕГИОНЕ ИНДИЙСКОГО И ТИХОГО ОКЕАНОВ
Одной из важнейших проблем современной гидрометеорологии является разработка и усовершенствование долгосрочных прогнозов погоды, которые во многом зависят от изучения межгодовой климатической изменчивости и глобальных климатических аномалий в системе океан-атмосфера, последствия которых сказываются на крупномасштабной циркуляции в различных регионах земного шара. Наиболее яркий пример глобальных климатических аномалий — явление Эль Ниньо — Южное Колебание (ЭНЮК). Многочисленные исследования явления ЭНЮК можно условно разделить на две группы. К первой относятся исследования по изучению природы самого явления, моделированию и прогнозу его возникновения и развития, ко второй — исследования глобального отклика на ЭНЮК. В исследовании природы явления наибольший интерес представляют физические механизмы, приводящие к переходам от теплой фазы Южного Колебания (Эль Ниньо) к холодной (Ла Нинья), и наоборот. Исследования показали, что процесс развития аномалий ветра в атмосфере и аномалий ТПО в экваториальной части Тихого океана, играющих ключевую роль в развитии ЭНЮК, связан с аномалиями муссонной циркуляции в регионе Индийского океана [2, 7, 8]. Этот вывод основан на результатах исследований межгодовой изменчивости основных параметров ЭНЮК (приземного давления, ветра, температуры поверхности океана), основной составной частью которой является двухгодичная мода. Двухгодичная изменчивость очевидна как в Индийском, так и Тихом океане и, согласно работам Киладиза, Мила и других исследователей [7, 8], является проявлением Тропосферного Двухгодичного Колебания.
Взаимодействие между муссонной циркуляцией и ЭНЮК неоднозначно. Исследования показывают, что годы интенсивных аномалий муссонных осадков над Индией, являющихся основным традиционным критерием интенсивности летнего азиатского муссона, в тропическом Тропосферном Двухгодичном Колебании выделяются как экстремальные, что проявляется в виде максимальных аномалий приземного давления, ветра, температуры поверхности океана в тропическом регионе Индийского и Тихого океанов, и, являются, собственно, фазами ЭНЮК, с названиями, соответственно, Эль Ниньо и Ла Нинья, в зависимости от характера аномалий. Кульминация аномалий ТПО в годы с Эль Ниньо и Ла Нинья в Тихом океане наблюдается в зимние месяцы после соответствующего летнего сезона индийского муссона. В годы с Эль Ниньо отмечается тенденция к ослаблению осадков над Индией, в годы с Ла Нинья — их усилению. Однако, это соотношение выполняется не всегда, прямых связей между аномалиями муссонных осадков над Индией и ЭНЮК не обнаружено. Более того, если в межгодовой изменчивости параметров Южного Колебания основным является двухгодичный масштаб, то в изменчивости летних осадков над Индией преобладает трехгодичная мода. До сих пор связь между Азиатским муссоном и ЭНЮК недостаточно ясна.
В ряде работ выдвинуто предположение, что основным связующим звеном между Южным Колебанием и муссонной циркуляцией является годовой цикл смещения максимума конвекции из одного полушария в другое. Именно годовое смещение максимума конвекции лежит в основе гипотезы Ясунари [13], выделившего летний индийский муссон в качестве основного фактора, определяющего аномалии в тропическом регионе Индийского и Тихого океанов в течение всего последующего года, и в моделях тропического двухгодичного колебания, например, модели Мила [8], учитывающей также динамику взаимодействия атмосферы, океана и континента. Следует подчеркнуть, что данная концепция предполагает активную роль азиатского муссона в развитии ЭНЮК.
Максимум конвекции, проявляющийся пониженным приземным давлением и интенсивными осадками, в тропиках связан, в основном, с Внутритропической Зоной Конвергенции (ВЗК). Именно со значительным аномальным смещением различных ветвей ВЗК в тропическом регионе Индийского и Тихого океанов, а также усилением и ослаблением активности на различных ее участках связаны, в основном, существенные аномалии муссонных осадков в различных районах тропического региона Индийского и Тихого океанов в годы развития теплых и холодных событий Южного Колебания [4]. Согласно определению, ВЗК — это область сходимости влажных потоков в нижнем слое атмосферы, интенсивность которых в значительной степени определяет интенсивность конвекции и муссонных осадков. Можно предположить, что аномалии максимума конвекции в течение годового цикла в значительной степени определяются аномалиями крупномасштабного влагообмена в нижнем слое атмосферы.
Следует отметить, что поступление водяного пара с акваторий океанов # это основной источник тепла в тропическом регионе. Именно с аномалиями крупномасштабного влагообмена атмосферы, влагосодержания и переноса влаги в атмосфере, связаны процессы перераспределения источников и стоков тепла в тропическом регионе, а, следовательно, и аномалии крупномасштабной циркуляции атмосферы. В свою очередь, эти крупномасштабные аномалии циркуляции способны усиливать температурные аномалии над Южной Азией, которые оказывают прямое влияние на формирование более сильного или более слабого по сравнению с нормой меридионального температурного градиента между континентом и океаном, определяющего интенсивность летнего индийского муссона. Роль Индийского океана состоит в обеспечении влагой и формировании меридионального градиента между континентом и океаном. Роль Тихого океана # в зональном смещении (запад — восток) областей максимальной конвекции и влажности. Совместные и взаимные действия этих регионов вызывают изменения в крупномасштабной западно-восточной циркуляции в атмосфере тропиков, а также вносят свой вклад в изменение циркуляции и в более высоких широтах.
Исходя из выше названной концепции ведущей роли годового цикла смещения максимума конвекции в развитии аномалий в тропическом регионе, и учитывая роль крупномасштабного влагообмена в формировании муссонных осадков (максимума конвекции), можно предположить, что годовой цикл крупномасштабного влагообмена в нижнем слое атмосферы играет активную роль в развитии аномалий в тропическом регионе Индийского и Тихого океанов.
В настоящей статье рассмотрены основные особенности годового цикла крупномасштабного влагообмена атмосферы в тропическом регионе Индийского и западной части Тихого океана в годы развития теплых и холодных событий ЭНЮК на основе композитных аномалий для выборок теплых, холодных и нормальных лет в различные сезоны календарного года, проведено исследование статистически значимых различий между выборками в пространственном распределении аномалий крупномасштабного влагообмена.
До появления качественных архивов в узлах сетки большинство исследований крупномасштабного влагообмена в тропической зоне, в том числе Индийского и Тихого океанов, основывались на немногочисленных судовых, островных и прибрежных аэрологических наблюдениях, а также данных специально организованных экспериментов, проведенных за отдельные, в основном, непродолжительные, периоды времени. Региональный характер этих исследований исключал глобальный анализ крупномасштабного влагообмена в тропической зоне.
С проведением Первого глобального эксперимента и появлением качественных данных за период с декабря 1978 по ноябрь 1979 г. стали возможны исследования переноса влаги в более широком пространственном масштабе, а также анализ переноса водяного пара в различные сезоны года. Исследования же межгодовой изменчивости крупномасштабного влаообмена в масштабе тропической зоны стали возможны только с появлением специальных архивов — реанализов NCEP/NCAR [6], NASA/DAO[5], ECMWF [3], представляющих данные в узлах регулярной сетки, полученные с использованием различных моделей анализа и методов усвоения оперативных данных. Несмотря на различные недостатки реанализов, основным их достоинством является возможность получить оценки межгодовой изменчивости основных характеристик крупномасштабного влагообмена в регионах земного шара, где недостаточна освещенность оперативными данными. Прежде всего, это регионы Мирового океана и Южного полушария.
В настоящей работе исследование крупномасштабного влагообмена проведено по данным реанализа Национального Центра США по прогнозу окружающей среды (реанализа NCEP/NCAR [6]) за период наблюдений с декабря 1981 по декабрь 1998 гг.: среднемесячным полям удельной влажности (q), зональной (u) и меридиональной (v) составляющих скорости ветра на изобарических поверхностях : 1000, 925, 850, 700, 600, 500, 400, 300 гПа.
Общее уравнение баланса водяного пара в столбе атмосферы может быть выражено [5] как:
(1)
где C — значение интегральной влажной конвергенции (отрицательной дивергенции) в столбе атмосферы.
C = — DIV (F).
(2)
Здесь F — интегральный результирующий поток водяного пара в столбе атмосферы от рo до р, р — атмосферное давление, g — ускорение свободного падения, q — удельная влажность, V — горизонтальный вектор ветра. В уравнении (1) Е — испарение от земной поверхности, Р — количество осадков, Q — интегральное содержание водяного пара в столбе атмосферы. При исследовании процессов за достаточно длительный период времени, такой, например, как месяц или сезон, изменение по времени интегрального содержания водяного пара в столбе атмосферы мало, и левую часть уравнения (1) можно принять равной нулю. В результате осреднения по времени и региону исследования уравнение (1) можно записать как :
(3)
где черта сверху означает осреднение по времени, а квадратные скобки [ ] — осреднение по региону исследования. В настоящей работе исследуются среднесезонные значения характеристик влагообмена атмосферы. Уравнение (3) представляет оценку среднего баланса водяного пара в столбе атмосферы над выбранным регионом исследования. Области, где испарение преобладает над осадками (Е — Р > 0), представляют районы источника водяного пара в атмосфере, им соответствуют положительные значения влажной дивергенции. Районы, где осадки преобладают над испарением, представляют области стока влаги, и им соответствуют отрицательные значения интегральной влажной конвергенции. Таким образом, области поступления и стока водяного пара можно определить двумя способами, в первом, как разницу испарения и осадков в атмосфере над регионом исследования, во-втором, через предварительные вычисления интегральных потоков водяного пара в атмосфере. В настоящем исследовании используется второй способ.
В качестве основных параметров крупномасштабного влагообмена атмосферы были рассчитаны среднемесячные значения интегрального влагосодержания Q в столбе атмосферы от 1000 до 300 гПа, интегральных значений зональной Fx и меридиональной Fy составляющих крупномасштабного переноса водяного пара и крупномасштабной дивергенции потока влаги в нижнем слое атмосферы от 1000 до 700 гПа. Особое внимание уделено исследованию адвективного переноса влаги в нижнем слое атмосферы, так как, именно в приземном слое до 3 км сосредоточено до 80% влаги в атмосфере. В более высоких слоях значения удельной влажности малы и определяются с большой ошибкой. Кроме того, как показали исследования, мощность муссонного слоя в зимний период практически не превышает 3 км, поэтому расчеты зонального крупномасштабного переноса влаги для нижнего 3-х километрового слоя атмосферы являются наиболее репрезентативными.
Интегральное влагосодержание в столбе атмосферы Q определялось по формуле:
кг/м2 или мм слоя осажденной воды). (4)
Зональная Fx и меридиональная Fy составляющие интегрального потока влаги рассчитывались по формулам :
(кг/м с), (5)
(кг/м с), (6)
где u и v — зональная и меридиональная составляющие скорости ветра.
Использование реанализа, представляющего архив данных в узлах регулярной сетки, дает возможность вычислений дивергенции (конвергенции) потока влаги стандартными способами. Расчет значений дивергенции потоков влаги проведен для центров пятиградусных квадратов на основе предварительно рассчитанных значений интегральных потоков зонального и меридионального переноса водяного пара в узлах сетки с шагом 2,5° x 2,5° по широте и долготе. Расчет дивергенции потоков влаги, в соответсвии с определением дивергенции [10, 14], проводился по девятиточеченой схеме с равномарным шагом по широте и долготе для центральных точек пятиградусных квадратов, так как в тропической зоне можно пренебречь кривизной земной поверхности и считать шаг по сетке, заданный в градусах, постоянным по долготе и широте :
(мм/месяц), (7)
где ∂ x и ∂ y расстояние между узлами сетки в 5 градусов по широте и долготе.
Следует отметить, что среднее значение потока водяного пара за определенный промежуток времени состоит из двух слагаемых:
(8)
первое слагаемое — это величина, определяемая средним движением, второе слагаемое определяет вклад вихревых движений в величину потока субстанции. В настоящей работе, основанной на среднемесячных значениях удельной влажности и скорости ветра, исследуются особенности адвективного переноса водяного пара, определяемого средним движением.
Исследование годового цикла крупномасштабного влагообмена основано на анализе средних характеристик по календарным сезонам (декабрь-январь-февраль, март-апрель-май, июнь-июль-август, сентябрь-октябрь-ноябрь), рассчитанных трехмесячным осреднением предварительно вычисленных среднемесячных значений параметров влагообмена. Кроме средних значений в качестве основных статистических характеристик исследовались среднеквадратические отклонения и аномалии. Аномалии влагообмена рассчитаны по отношению к многолетним величинам, полученным по данным реанализа за период наблюдений с 1982 по 1994 гг.
Для расчета композитных характеристик в ряду наблюдений было выделено несколько групп (выборок): экстремально теплых лет Южного Колебания, отличившихся ослаблением летнего максимума конвекции, т.е. муссонных осадков над Индией, — 1982, 1986, 1987, 1991, 1997; экстремально холодных лет, отличившихся усилением летнего максимума конвекции — 1983, 1988, 1995, 1998 и нормальных лет 1984, 1985, 1989, 1990, 1993. Отдельно следует отметить экстремальный 1994 г., который по индексам Южного Колебания относится к группе теплых событий, однако отличился значительным усилением муссонных осадков.
Выделение теплых и холодных лет ЭНЮК основано на комбинированном индексе MEI, значения которого ежемесячно публикуются на сайте Климатического Диагностического Центра — CDC (США) [https://www.cdc.noaa.gov/kew/MEI]. Положительные значения стандартизированного отклонения комбинированного индекса соответствуют теплой фазе ЭНЮК (Эль Ниньо), отрицательные — холодной фазе (Ла Ниньо). На основе комбинированного индекса в ряду наблюдений с 1981 по 1998 год были выделены четыре цикла Эль Ниньо с кульминацией в зимние сезоны (1982-1983, 1986-1987, 1991-1992, 1997-1998 гг.) и два сильных Ла Ниньо (1988-1989, 1998-1999). Отдельный анализ основного индекса Южного Колебания, нормированной разности приземного давления между станциями Таити и Дарвин, и аномалий ТПО в районе Ниньо 3 [https://www.cpc.noaa.gov] показывает интенсивное начало развития теплой фазы Южного Колебания в летние месяцы 1982, 1986 и 1997 гг. и продолжение теплой фазы в весенние и в летние месяцы 1987 г., а также развитие холодной фазы в 1983 и 1995 гг., хотя и не столь интенсивное по сравнению с 1988 и 1998 гг.
Для анализа годового цикла крупномасштабного влагообмена в качестве начального был выбран зимний сезон, предшествующий развитию экстремальных событий, аномалиям летнего индийского муссона и кульминации теплой и холодной фазы ЭНЮК в последующий зимний период. Такой выбор позволяет проанализировать, как процесс формирования аномального летнего максимума конвекции, так и его дальнейшее развитие.
Известно, что в тропическом регионе области максимального влагосодержания в атмосфере — это области источников тепла. Таким образом, по картам аномалий влагосодержания можно судить о перераспределении очагов тепла в тропическом регионе. При нормальных условиях циркуляции основной источник тепла в летние месяцы северного полушария расположен над Азиатским континентом и Индонезийским архипелагом, т.е. в районах основного выпадения муссонных осадков, а в зимний период — над Индонезией, Северной Австралией и прилегающей акваторией западной части Тихого океана, регионом летнего Австралийского муссона .
Особенности годового цикла в годы с Эль Ниньо и Ла Нинья. Анализ композитных аномалий показывает существенные различия в пространственном распределении аномалий влагосодержания в регионе исследования в течение всего годового цикла в период развития теплых и холодных событий ЭНЮК (рис.1). Максимальные различия наблюдаются над экваториальным регионом Индонезии, Северной Австралией и прилегающей акваторией Тихого океана — регионом летнего Австралийского муссона. В зимние сезоны, предшествующие развитию теплой фазы Южного Колебания, над вышеуказанным регионом наблюдаются положительные аномалии влагосодержания, в то время как в зимние сезоны, предшествующие развитию холодных событий, в данном районе располагается область отрицательных аномалий. Это свидетельствует об усилении Австралийского муссона в первом случае и об его ослаблении во втором. В весенние месяцы и в годы развития теплых, и в годы холодных событий над этим регионом наблюдается смена знака аномалий. В дальнейшем в течение летнего сезона интенсивность аномалий влагосодержания над этим регионом усиливается (отрицательных аномалий — в теплые годы, положительных — в холодные) и достигает максимальных значений в осенние месяцы, при этом, интенсивность положительных аномалий влагосодержания в летний и осенний периоды в холодные годы значительно выше по сравнению с отрицательными аномалиями в теплые годы. Следует отметить, что хотя в абсолютных единицах (мм) величина аномалий над Индонезией и не велика, всего 4-6 мм, однако, вследствие невысоких, по сравнению с другими регионами, многолетних значений влагосодержания, такие аномалии


для теплых (а, б) и холодных (в, г) лет ЭНЮК соотвественно.


а) декабрь, январь, февраль, б) март, апрель, май, в) июнь, июль, август, г) сентябрь, октябрь, ноябрь.
являются существенными для данного региона. В процентном отношении относительно многолетних значений величина аномалий влагосодержания в данном районе региона в экстремальные теплые и холодные годы превышает 30 %. Статистический анализ Стьюдента также показал, что наиболее значимые различия влагосодержания между выборками теплых и холодных лет наблюдаются в осенние месяцы над регионом Австралийского муссона.
В годы развития холодной фазы ЭНЮК, в отличие от теплой, в западном экваториальном районе Тихого океана к северу от экватора смена знака аномалий происходит только осенью северного полушария, в летние же месяцы область отрицательных аномалий влагосодержания, сохраняющаяся в этом регионе с зимних месяцев, значительно расширяется в зональном направлении и распространяется на центральный эваториальный регион Тихого океана, где положительные аномалии полностью замещаются отрицательными, и на Юго-Восточную Азию и акваторию Бенгальского залива. Зона максимальных отрицательных аномалий сохраняется в экваториальном районе к востоку от Филиппин.
В осенние месяцы наряду с формированием зоны интенсивных аномалий влагосодержания в регионе Индонезии в годы теплых (холодных) событий усиливаются, соответственно, положительные (отрицательные) аномалии влагосодержания в центральной экваториальной части Тихого океана и формируются обширные области положительных (отрицательных) аномалий в районах Восточной Африки, Аравийского п-ова и в южной части Индийского океана. Такое пространственное распределение аномалий влагосодержания по региону, в общем, соответствует пространственному распределению аномалий осадков в теплые и холодные годы ЭНЮК, отмеченному в работах [10, 11]
В целом, можно отметить, что в течение годового цикла от зимнего сезона, предшествующего экстремальному событию ЭНЮК, до зимнего сезона, совпадающего с его кульминацией, характер пространственного распределения аномалий интегрального влагосодержания в регионе исследования меняется на противоположный.
Межгодовая изменчивость. Анализ стандартных квадратических отклонений за период наблюдений с декабря 1981 по 1998 гг. показывает (рис.2), что в течение всего годового цикла самые высокие значения изменчивости влагосодержания атмосферы отмечены в южной части Индонезийского архипелага, над Северной Австралией и в районе Южно-Тихоокеанской Зоны Конвергенции, в регионе максимальных аномалий влагосодержания в годы с ЭНЮК. Максимальные значения изменчивости влагосодержания в этом районе наблюдаются в осенний период, когда отмечены и экстремальные значения аномалий влагосодержания.
Поле крупномасштабного потока атмосферной влаги определяется главным образом циркуляцией в нижней тропосфере, зональной и меридиональной. Меридиональная составляющая ветра на порядок меньше зональной, следовательно, основной вклад в результирующий поток вносит зональная составляющая переноса влаги в нижнем слое атмосферы. Можно предположить, что именно изменчивость зональной составляющей переноса влаги в значительной степени определяет межгодовую изменчивость результирующего потока влаги в регионе.
Межгодовая изменчивость. Анализ средних квадратических отклонений показывает (рис.3), что наиболее значительная изменчивость зонального переноса водяного пара в нижнем слое атмосферы (более 30 кг/ м сек) в течение всего годового цикла, в основном, наблюдается в экваториальном регионе, однако районы ее меаксимальных значений (более 45 кг/м сек) мигрируют от сезона к сезону. В зимний сезон максимальная изменчивость зонального переноса водяного пара наблюдается в центральных районах океанов. В весенние месяцы в Индийском океане изменчивость зонального переноса водяного пара ослабевает и ее максимальные величины отмечены в довольно узком западном экваториальном районе Тихого океана. В летний сезон зона максимальных значений изменчивости зонального переноса влаги (более 60 кг/м сек) существенно расширяется, в основном, в направлении Юго-Восточной Азии. Довольно значительная изменчивость, от 30 до 45 кг/(м сек), отмечается над центральным районом п-ова Индостан и в восточном экваториальном районе Индийского океана. К концу годового цикла, в осенние месяцы, формирутся две явные области максимальных значений изменчивости зонального переноса водяного пара (более 45 кг/м сек) в центральных экваториальных районах океанов.
Годовой цикл в годы с Эль Ниньо и Ла Нинья. Анализ композитных аномалий показывает, что в поле крупномасштабного зонального переноса влаги в нижнем слое атмосферы в годы развития теплых и холодных событий ЭНЮК наблюдаются существенные различия (рис.4). Эти различия проявляются, прежде всего, в направлении зонального смещения западных аномалий переноса водяного пара — к востоку в теплые годы и к западу в холодные годы по сравнению с многолетними значениями. В зимние сезоны, предшествующие развитию





теплой фазы, в регионе Индонезии, Северной Австралии и прилегающей акватории Тихого океана и Индийского океанов наблюдаются аномальное усиление западного переноса влаги в нижнем слое атмосферы (до 100 кг/м сек), которое наряду со значительными положительными аномалиями влагосодержания в этом регионе свидетельствует о сильной интенсивности летнего Австралийского муссона. Далее в течение года эти западные аномалии смещаются к востоку на акваторию Тихого океана, и в период летнего азиатского муссона над Аравийским морем и п-овом Индостан наблюдается значительное ослабление западного переноса водяного пара и усиление его значений над Юго-Восточной Азией и западной акваторией Тихого океана. В регионе Индийского океана наряду с ослаблением западного переноса к северу от экватора в восточном экваториальном районе океана отмечается постепенное аномальное усиление восточного переноса влаги в нижнем слое атмосферы. Максимальных значений аномалии зонального переноса, и западные в Тихом океане (до 150 кг/м сек), и восточные в Индийском (до 100 кг/м сек), достигают в осенние месяцы. Аномальные смещения зонального переноса влаги в теплые годы приводят к значительному аномальному оттоку (дивергенции) влаги в нижнем слое атмосферы из региона Индонезии, достигающего максимальных значений в осенние месяцы, и постепенному усилению притока влаги (конвергенции) в экваториальные районы Восточной Африки и Тихого океана.
В годы развития холодной фазы, начиная с зимних сезонов, наблюдается обратная картина. В зимние сезоны, предшествующие развитию холодной фазы Южного Колебания, для поля аномалий зонального переноса водяного пара характерно дипольное распределение с положительными, западными, аномалиями в центральной экваториальной части Тихого океана и отрицательными, восточными, аномалиями в Индийском океане. Следует отметить, что данная картина распределения аномалий соответствует фазе кульминации в развитии теплых событий Южного Колебания. В весенние месяцы отмечается ослабление как положительных, западных, аномалий зонального переноса водяного пара в центральной части Тихого океана, так и отрицательных аномалий в Индийском океане. Одновременно формируется зона восточных аномалий в западной экваториальной части Тихого океана. В летний сезон отрицательные, восточные, аномалии преобладают уже в западной части Тихого океана и во всем тропическом регионе к югу от экватора. Максимальные значения восточных аномалий, от 100 до 150 кг/м сек, наблюдаются над Бенгальским заливом, п-овом Индокитай и западной экваториальной частью Тихого океана к северу от экватора, что говорит о значительном ослаблении многолетнего западного переноса над Бенгальским заливом и Индокитаем, усилении восточного переноса влаги в западном тропическом регионе Тихого океана, и, в общем, о существенном, на 20-30 градусов, смещении внутритропической зоны конвергенции к западу от своего многолетнего положения. В регионе Индийского океана при ослаблении западного переноса в восточной экваториальной части океана отмечается значительное усиление западного переноса в районе Аравийского моря. Постепенное усиление западных потоков влаги в районе Индийского океана (до 100 кг/м сек) и восточных потоков с акватории Тихого океана (до 150 кг/м сек) приводит к значительному притоку влаги (конвергенции) в район Индонезии. Максимальные значения аномалий наблюдаются в осенний период, при этом, следует отметить, что интенсивность аномалий зонального переноса в Тихом океане значительно сильнее по сравнению с аномалиями в Индийском океане как в теплые, так и холодные годы ЭНЮК.
Статистическое сравнение выборок для летнего сезона. В годовом цикле наибольший интерес представляют аномалии зонального переноса водяного пара в летний период, сезон индийского муссона, в течение которого формируются аномалии летнего максимума конвекции северного полушария, оказывающие, согласно гипотезе Ясунари [13], определяющее влияние на развитие аномалий в тропическом регионе в течение всего последущего года. Анализ полей композитных аномалий дает представление о характере и интенсивности аномалий зонального переноса по региону исследования в экстремальные теплые и холодные годы и дает возможность их визуального сравнения. Проведенное статистическое сравнение композитных аномалий по методу Стьюдента выделяет районы, где различия между выборками статистически значимы.
Анализ показывает (рис.5), что в летний период северного полушария область максимальной изменчивости зонального переноса водяного пара в основном совпадает с районом статистически значимых различий между выборками теплых и холодных лет. Это район Юго-Восточной Азии и западная экваториальная часть Тихого океана. Однако, следует отметить, что в восточном экваториальном районе Индийского океана, выделяющимся значительной изменчивостью зонального переноса влаги, статистически значимых отличий между выборками теплых и холодных лет не отмечено, но статистически значимые отличия наблюдаются между выборками теплых и нормальных лет, а также между выборками холодных и нормальных лет. Отсюда следует, что данный район региона отличается значительными аномалиями зонального переноса водяного пара в летний период северного полушария в годы как теплых, так и холодных событий, и эти аномалии индентичны. Как показал анализ композитных средних, это восточные аномалии, отмеченные в данном районе региона как в теплые, так и холодные годы ЭНЮК. Статистическое сравнение показало, что если статистически значимые различия в поле зонального переноса водяного пара между выборками теплых и нормальных лет наблюдаются в центральной экваториальной части Тихого океана, в районе Аравийского моря и восточном экваториальном районе Индийского океана, то основные различия между выборками холодных и нормальных лет отмечены в западной экваториальной части Тихого океана и южной экваториальной части Индийского океана. Это показывает, что аномалии зонального переноса водяного пара в годы с Ла Нинья не являются зеркальным отражением аномалий в годы с Эль Ниньо.


а) теплых и холодных лет — warm/cold; б) теплых и нормальных лет — warm/normal;
в) холодных и нормальных лет — cold/normal. Летний сезон (JJA — июнь-июль-август).
Хорошо известно, что меридиональные движения в атмосфере, наблюдаемые в системе ложбин и гребней, отражают пульсационные возмущения зональной циркуляции. Помимо меридиональных движений пульсационного характера в системе атмосферных вихрей большого масштаба существует среднее меридиональное движение, представляющее собой важную часть циркуляции атмосферы. Средняя меридиональная циркуляция имеет наиболее важное значение в экваториальных и тропических широтах при обмене теплом, влагой, количеством движения. Получение достаточно точной схемы меридионального движения является довольно сложной задачей, тем не менее анализ аэроклиматического материала показал, что в тропической зоне в среднем существует определенная тенденция к меридиональности потока в направлении к экватору в нижней тропосфере и в направлении к полюсу в верхней тропосфере, что приводит к преобладанию в области экватора восходящих движений воздуха, а в субтропических широтах — нисходящих. Таким образом формируется хорошо известная крупномасштабная циркуляционная ячейка Гадлея. Нецелесообразность ее применения для объяснения циркуляционных особенностей в умеренной зоне давно не оставляет сомнений. Однако реальность существования симметричной конвективной модели в тропиках не отрицается по сей день. Несмотря на свое явное несовершенство, модель Гадлея дает представление об общем характере основных меридиональных переносов в тропической зоне.
Особенности годового цикла в годы с Эль Нинья и Ла Нинья. В зимние сезоны, предшествующие развитию экстремальных событий ЭНЮК, согласно статистическому анализу, основные различия в поле меридионального переноса наблюдаются в западной экваториальной части Тихого океана и в юго-восточном районе Индийского океана (рис. не прив.) Анализ композитных аномалий показывает (рис.6), что в зимние сезоны, предшествующие развитию теплых событий, в западной экваториальной части Тихого океана наблюдается значительное усиление циклонической циркуляции, проявляющееся аномальным усилением северных аномалий переноса влаги в районе Филиппин (до 40 кг/м сек) и южного выноса к востоку от них, а в южном регионе Индийского океана наблюдается усиление антициклонической циркуляции с аномальным усилением южного выноса водяного пара в юго-восточном районе океана. В годы развития холодной фазы в районе Филиппин наблюдаются сильные южные аномалии (до 60 кг/м сек) и экстремальное усиление меридионального переноса в центральной части Тихого океана: северного — к северу от экватора и южного — к югу от него.
В течение остальных сезонов (весна, лето, осень) основные области максимальных аномалий меридионального переноса водяного пара, как в годы развития теплых, так и в годы развития холодных фаз Южного Колебания, отмечаются в одних и тех же экваториальных районах региона, но с обратным знаком. Это ослабление южного выноса влаги в западном экваториальном районе Индийского океана вдоль восточного берега Африки, и его усиление в восточном районе у берегов острова Суматра и в западной части Тихого океана у берегов Новой Гвинеи в теплые годы ЭНЮК. Обратная картина отмечается в холодные годы, Ла Нинья Максимальных значений аномалии меридионального переноса водяного пара в этих районах региона и в теплые и холодные годы достигают в осенние месяцы.
Как отмечалось выше, основной характерной особенностью поля зонального переноса влаги в нижнем слое атмосферы в годы теплых событий ЭНЮК является смещение западного переноса к востоку в западную часть Тихого океана. Это смещение связано с аномалиями в крупномасштабной зональной циркуляции Уокера, причиной которых являются аномалии температуры поверхности в центральной экваторальной части Тихого океана. Аномалии в поле меридионального переноса в тропическом регионе связаны с изменениями в региональной циркуляции Гадлея. Анализ показывает, что региональные изменения в меридиональной циркуляции Гадлея в годы развития Эль Ниньо и Ла Нинья могут быть довольно значительны. Эти региональные изменения циркуляции Гадлея связаны с аномалиями крупномасштабной зональной циркуляции Уокера, в результате которых наблюдается смещение не только зонального переноса, но и региональной ячейки меридионального переноса. Таким образом, региональные изменения меридиональной циркуляции являются прямым следствием аномалий циркуляции Уокера, то есть прямого влияния ЭНЮК.
Дополнительное влияние на усиление или ослабление меридиональной циркуляции могут оказывать аномалии ТПО в Индийском океане. Холодные аномалии ТПО в восточной экваториальной части Индийского океана вдоль берега о. Суматра формируются вследствие апвеллинга и адвекции восточными приземными ветрами теплых вод на запад [12]. Эти холодные аномалии могут усиливать подавление конвекции в этом районе, усиливая тем самым прямое влияние ЭНЮК.


в зимний и осенний сезоны для теплых (а, б) и холодных (в, г) лет ЭНЮК соответственно.
Анализ основных параметров крупномасштабного влагообмена атмосферы позволяет сделать следующие выводы.
1. Одной из основных особенностей годового цикла крупномасштабной циркуляции водяного пара в нижнем слое тропической атмосферы в экваториальном регионе Индийского и западной части Тихого океана является зональное смещение аномалий, как в влагосодержания атмосферы, так и потоков водяного пара, в годы развития теплой фазы с запада на восток, холодной фазы — с востока на запад, являющихся проявлением аномалиий зональной циркуляции Уокера. Это смещение начинается в весенние месяцы и макимальных значений, до 30 град, как в теплые, так и холодные годы, достигает в летний период северного полушария, период летнего индийского муссона.
2. В зимние месяцы этому смещению предшествует аномальное усиление (ослабление) интегрального влагосодержания атмосферы и усиление (ослабление) западного переноса влаги в нижнем слое атмосферы в регионе летнего Австралийского муссона соответственно в годы теплых и холодных событий ЭНЮК. В поле меридионального переноса соответственно отмечается аномальное усиление (ослабление) северного выноса влаги в нижнем слое атмосферы в районе Филиппин и общее усиление циклонической (антициклонической) циркуляции в западном экваториальном регионе Тихого океана к северу от экватора, и усиление (ослабление) южного выноса влаги из умеренных широт в юго-восточной части Индийского океана.
Таким образом, формированию аномалий летнего максимума конвекции, то есть летних осадков над Индией, предшествуют значительные аномалии крупномасштабного влагообмена в экваториальном и тропическом регионе Индийского и западной части Тихого океана в предшествующие зимний и весенний сезоны.
Более того, так как, согласно гипотезе Барнетта [2], двигающей силой волны приземного давления и ветра экваториальном регионе является скрытое тепло в атмосфере, можно предположить, что аномалии крупномасштабного влагообмена в экваториальном регионе Индонезии и западной части Тихого океана в зимний период способствуют, и даже предопределяют дальнейшее развитие аномалий крупномасштабной циркуляции в регионе в весенний период (развитие западных и восточных аномалий крупномасштабного переноса в нижнем слое атмосферы в западном экваториальном регионе Тихого океана, соответственно, в теплые и холодные годы), смену знака аномалий ТПО в центральной экваториальной части Тихого океана вследствие адвективных процессов [2, 9] и, тем самым смену фазы ЭНЮК.
3. Основной общей особенностью годового цикла крупномасштабного влагообмена в годы теплых и холодных событий ЭНЮК, отмеченных сответственно, ослаблением и усилением летнего максимума конвекции, является сценарий развития аномалий в регионе, приводящий в течение годового цикла (от зимнего сезона, предшествующего развитию экстремальных событий ЭНЮК, до зимнего сезона, совпадающего с фазой их кульминации), к формированию условий, противоположных, наблюдаемым в текущем году, то есть к смене фазы колебания. Этот общий сценарий годового цикла крупномасштабного влагообмена подчеркивает тот факт, что фазы ЭНЮК есть экстремальное проявление двухгодичного колебания в тропиках.
4. Важное значение в годовом цикле имеет весенний сезон. С весенних месяцев начинается зональное смещение аномалий крупномасштабного влагообмена и наблюдается резкая смена знака аномалий интегрального влагосодержания атмосферы в регионе Индонезии, Северной Австралии и прилегающей акватории Тихого океана на противоположный.
5. Осенние месяцы в годовом цикле выделяются максимальной интенсивностью аномалий крупномасштабного влагообмена. Максимальных значений достигают аномалии зонального переноса водяного пара в нижнем слое атмосферы, характер пространственного распределения которых в экваториальном регионе, в теплые годы интенсивных западных аномалий в западной части Тихого океана и восточных — в Индийском океане, а в холодные годы — наоборот, способствует усилению влажной дивергенции (расходимости) зональных потоков влаги в годы теплых событий и влажной конвергенции (сходимости) в годы холодных событий ЭНЮК, что приводит к формированию интенсивных отрицательных аномалий влагосодержания в регионе Индонезии в теплые годы и положительных аномалий — в холодные.
6. В годовом цикле крупномасштабного влагообмена ключевую роль играет экваториальный регион Индонезии и прилегающих акваторий океанов.
7. Сравнение годового цикла композитных аномалий для теплых и холодных лет ЭНЮК показывает, что кроме общих особенностей между ними есть и существенные различия. Эти различия проявляются как в интенсивности аномалий, так и в районах их формирования. Например, интенсивность максимальных положительных аномалий влагосодержания над Индонезией в годы холодных событий значительно выше по сравнению с отрицательными аномалиями в годы теплых событий. Эти результаты совпадают с оценками осадков, показывающими, что интенсивность положительных аномалий осадков над Индонезией в годы развития холодных событий значительно выше по сравнению с дефицитом осадков в теплые годы. Анализ композитных аномалий и статистические оценки показывают, что интенсивность аномалий зонального переноса водяного пара в экваториальном регионе в годы холодных событий также значительно выше по сравнению с интенсивностью аномалий в годы теплых событий.
Статистическое сравнение композитных аномалий с выборкой нормальных лет показало, что в период летнего максимума конвекции, летнего индийского муссона, существенные различия отмечены и в локализации основных районов аномалий параметров влагообмена. Это означает, что теплые и холодные события ЭНЮК не являются зеркальным отображением друг друга. Каждая группа событий, и с Эль Ниньо и с Ла Нинья, имеет свои, только ей присущие особенности.
1. Aldrian E., Widodo H, Dumenil L. Haracteristics of Monsoon Rains over Indonesia. 4 th International Conference on Modelling of Global Climate Change and Variability. Gamburg, 1999, pp.106.
2. Barnett T.P. Interaction of the Monsoon and Pacific Trade Wind Sistem at Interannual Time Scales. Part III: A Partial Anatomy of the Southern Oscillation. Mon.Wea.Rew., 1984, vol.112, pp. 2388-2400
3. Gibson J.K., Kallberg P., Uppala S. The ECMWF ReAnalyses (ERA) Project. ECMWF, Newsl., 1996, vol. 73, pp. 7-17.
4. Goswami BN. Interannual Variations of Indian Summer Monsoon in a GCM: External Conditions versus Internal Feedbacks. J. Climate, 1998, v.11, No.4, pp.501-522.
5. Higgins R.W., Mo K.C., Schubert S.D. The moisture budget of the central United States in spring as evaluated in the NCEP/NCAR and the NASA/DAO reanalyses. Mon. Wea. Rev., 1996, vol.124, pp. 939-953.
6. Kalnay E., et. Coauthors, The NCEP/NCAR 40-Year Reanalysis Project, Bull.Amer.Meteor.Soc.,1996, vol.77, pp.437-471.
7. Kiladis G. N. And H. van Loon.The Southern Osillation Part VI: Meteorological anomalies over the Indian and Pacific sectors associated with the extremes of the oscillation. Mon. Wea. Rev., 1988, v.116, p.120-136.
8. Meehl G. A. The south Asian monsoon and the Tropospheric Biennial Oscillation. J. Climate, 1997, v.10, 1921-1943.
9. Philander G.- Learning from El Nino. Weather, 1998, vol. 53, pp.270-273.
10. Ropelewski C.F. and Halpert M.S. Global and regional scale precipitation patterns associated with El-Nino/ Souther oscillation. Mon.Wea.Rev., 1987, vol.115,pp.1606-1626.
11. Ropelewski C.F. and Halpert M.S. Precipitation Patterns Associated with the High Index Phase of the Southern Oscillation. J. Climate, 1989, vol. 2, pp.268-284.
12. Saji N.H., Goswami B.N., Inayachandran P. N., Yamagata T., Lizuka S. Super-SST in the Indian Ocean : Is Air — Sea Interaction Involved ?. 4 th International Conference on Modelling of Global Climate Change and Variability. Gamburg, 1999, pp.127.
13. Yasunary T. The monsoon year — A new concept of the climate year in the Tropics. Bull. Amer. Meteor. Soc. 1991, vol. 72, pp.1331-1338.
|
23 июля 2001 г. в г. Обнинск (ВНИИГМИ-МЦД) состоялось очередное заседание секции по подпрограмме 10 «Создание Единой системы информации об обстановке в Мировом океане» (ЕСИМО). На заседании рассмотрены:
- Базовые компоненты системы — состояние работ и ожидаемые результаты в 2001 и по окончании 1-го этапа подпрограммы по направлению 1.
- Методы, средства и технологии наблюдения за состоянием природной среды Мирового океана, включая их метрологическое обеспечение и стандартизацию — состояние работ и ожидаемые результаты в 2001 и по окончании 1-го этапа подпрограммы по направлению 2. Технологии оперативного обеспечения науки, экономики и обороны страны — состояние работ и ожидаемые результаты в 2001 и по окончании 1-го этапа подпрограммы по проектам направления
- Технологии обеспечения потребителей режимно — справочной информацией об обстановке в Мировом океане и прибрежных территориях — состояние работ и ожидаемые результаты в 2001 и по окончании 1-го этапа подпрограммы по проектам направления 4.
- Технологии интеграции, ведения и распространения информационных ресурсов об обстановке в Мировом океане, взаимодействие с внешними национальными и международными системами — состояние работ и ожидаемые результаты по проектам направления 5.
- Предложения по уточнению системы программных мероприятий подпрограммы ЕСИМО на 2003-2007 гг.
- Рассмотрение результатов проведения рабочих семинаров за январь-июль 2001 г.
- Положение о рабочих семинарах при секции межведомственного научно-технического совета по подпрограмме ЕСИМО ФЦП «Мировой океан», прил. 1.
- Функции и задачи группы экспертов по технологиям доступа, обмена и распространение информационных ресурсов ЕСИМО. Состав группы экспертов прилагается (прил.2).
Приложение 1
ФЦП «МИРОВОЙ ОКЕАН»
1. Общие положения
Рабочие семинары при секции МНТС организуются с целью проведения всестороннего обсуждения, экспертизы и обоснования научно-технических решений, принимаемых по ключевым вопросам создания информационных технологий, обоснования приобретения технических средств и программных продуктов и других актуальных вопросов, возникающих при выполнении работ по подпрограмме ЕСИМО.
Решения, вырабатываемые на семинарах, носят рекомендательный характер и. при необходимости, подлежат дальнейшему рассмотрению и утверждению секцией МНТС по подпрограмме, МНТС, Дирекцией Подпрограмм и руководством Росгидромета.
На семинары приглашаются наиболее авторитетные ученые и специалисты по рассматриваемым вопросам из организаций Росгидромета и других ведомств, участвующих в создании ЕСИМО.
Основными задачами семинаров являются обеспечение высокого научно-технического уровня разработок, проводимых в рамках создания ЕСИМО, избежание неперспективных решений при создании информационных технологий и интеграции их в единую систему, выработка оптимальных вариантов реализации принимаемых научных, технических и технологических решений.
В задачу семинаров входит также создание технологических условий для интеграции разработок и обеспечения связей между проектами ЕСИМО путем выработки единых рекомендаций и решений.
Рабочие семинары осуществляют свою деятельность на основе годовых планов. Планы работ формируются головной организацией по подпрограмме ЕСИМО до 1 марта планируемого года по предложениям организаций — исполнителей проектов и включается в виде специального раздела Плана проведения секции МНТС по подпрограмме
Ответственными за организацию и проведение семинаров определяются организации-исполнители проектов в зависимости от тематики рассматриваемых вопросов.
В случае оперативной необходимости, семинары могут проводиться вне плана.
Организация, ответственная за подготовку и проведение семинара, назначает председателя семинара из числа ведущих специалистов по рассматриваемому вопросу и секретаря семинара.
Состав участников семинара согласовывается с головной организацией по Подпрограмме.
При вынесении на заседания семинара наиболее важных аспектов создания ЕСИМО, к проработке вопросов привлекается группа экспертов по технологиям доступа, обмена и распространение информационных ресурсов ЕСИМО.
Решения семинара, которые носят рекомендательный характер, представляются на секцию МНТС, для их дальнейшего утверждения руководством Росгидромета.
Приложение 2
Группа экспертов является аналитическим органом, создаваемым при Межведомственном научно-техническом совете по подпрограммам ЕСИМО и Антарктида ФЦП «Мировой океан».
Состав ГЭ формируется головной организацией по подпрограмме ЕСИМО по предложениям организаций-исполнителей проектов ЕСИМО и утверждается секцией МНТС подпрограммы на срок 1-2 года. Оперативное управление работой ГЭ осуществляется головной организацией по подпрограмме ЕСИМО совместно с Председателем группы, утверждаемым решением МНТС.
Главной целью деятельности ГЭ является разработка предложений по созданию в рамках ЕСИМО необходимых условий для интеграции разработок и обеспечения связей на технологическом уровне между проектами посредством подготовки взаимоувязанных решений и рекомендаций.
Группа экспертов решает следующие основные задачи:
- разрабатывает в общем виде предложения (направления развития) по стандартам обмена данными и информационной продукцией ЕСИМО и технологиям доступа, обмена и распространения данных с применением WEB, ГИС и СУБД: на этой основе вырабатывает технологические рекомендации по конкретным проектам Подпрограммы;
- проводит тестирование основополагающих решений, стандартов ЕСИМО и прототипов технологий управления данными и информационной продукцией, а также готовит рекомендации по их развитию и доведению до практического использования;
- выполняет технологическую экспертизу и готовит заключения для МНТС и Дирекцией подпрограмм ЕСИМО и Антарктида ФЦП «Мировой океан» по наиболее важным результатам работ, полученным в рамках создания ЕСИМО, включая предложения организационного характера (прекращение или дальнейшее развитие НИОКР, включение в план новых работ, направление инвестиций).
ГЭ работает по годовому плану, составляемому исходя из текущих задач по созданию ЕСИМО, заданий МНТС и Дирекции Подпрограмм.
ГЭ осуществляет свою работу посредством контактов по телекоммуникационным каналам и проведения заседаний не реже одного раза в квартал.
По наиболее важным решениям ГЭ делает сообщения на рабочих семинарах секции ЕСИМО и МНТС.
Головная организация по подпрограмме вырабатывает предложения для Дирекции Подпрограмм по видам и объемам затрат группы экспертов.
| ФИО | Должность | Направление деятельности |
|---|---|---|
| Абрамов Александр Михайлович | заместитель начальника НИЦ ГосНИНГИ МО | ГИС -технологии |
| Беспрозванных Александр Васильевич | зав. лаб. ВНИИГМИ-МЦД Росгидромет | Web-технологии |
| Веселов Валерий Михайлович | зав. лаб. ВНИИГМИ-МЦД Росгидромет | Данные |
| Воронцов Александр Анатольевич | зав. лаб. ЦОД ВНИИГМИ-МЦД Росгидромет | ГИС, Web-технологии |
| Девятаев Олег Семенович | в.н.с. ААНИИ Росгидромет | ГИС-технологии |
| Жабина Ирина Иосифовна | ГМЦ Росгидромет | Данные, Web-технологии |
| Землянов Игорь Владимирович | зав. лаб. ГОИН Росгидромет | ГИС, Web-технологии |
| Лучин Владимир Александрович | зав. отделом ДВНИГМИ Росгидромет | Данные |
| Мастрюков Сергей Иванович | нач. отдела ГосНИНГИ МО | Данные |
| Матвеев Сергей Вячеславович | зав. лаб. «Нацрыбресурсы» Госкомрыболовство | Данные |
| Михайлов Николай Николаевич | начальник ЦОД ВНИИГМИ-МЦД Росгидромет | Председатель ГЭ |
| Моисеенко Георгий Сергеевич | зав. лаб. ВНИРО Госкомрыболовство | ГИС-технологии |
| Сальников Юрий Александрович | ФАПСИ | Wеb-технологии |
| Ураевский Евгений Петрович | зав. лаб. ДВНИГМИ Росгидромет |
Web-технологии |
| Щербаков Дмитрий Валерьевич | главный геолог ГИЦ «Недра» МПР | Данные |
| Постнов А.А. | ГОИН | Данные |
| НИЦ «Планета» | Данные |
|
Автор: В.А. Рожков. Книга 1. — Санкт-Петербург. Гидрометеоиздат. -2001. — 340 с.
Изменчивость метеорологических, гидрологических и океанологических процессов и полей является неотъемлемым свойством. Основой математического описания разномасштабной изменчивости являются теория вероятностей случайных событий, величин и функций, теория статистического оценивания вероятностных характеристик по натурным данным, формулирование статистических гипотез, их проверка с помощью критериев и принятие решений. В монографии систематически изложены современные модели и методы обработки и анализа натурных данных, начиная с теории точечного и интервального оценивания вероятностных характеристик, включая многомерный статистический анализ, и заканчивая формулированием статистических гипотез и принятием решений. Все разделы содержат гидрометеорологические примеры. Монография подготовлена в соответствии с планами работ на «Создание Единой системы информации об обстановке в Мировом океане» (ЕСИМО).
Книга рассчитана на специалистов гидрометеорологического профиля, а также студентов и аспирантов этих специальностей.
(Review of NASA’s Distributed Active Archive Centers). НАСА, Commission on Geosciences, Environment and Resources). -1999. -233 pp.
Книга включает подробный обзор системы распределенных архивных центров НАСА. Отдельно рассматриваются центры Goddard Space Flight Center, Langley Resesrch Center, Alaska SAR Facility, Physical Oceanography, National Snow and Ice Data Center, Oak Ridge National Laboratory. В приложениях даны обзор миссии системы центров, порядок обслуживания пользователей. С содержанием книги можно ознакомится на Web сайте https://search.nap.edu/nap-cgi/getrecid.cgi.
(Еnhancing NASA’s Contributions to Polar Science: A Review of Polar Geophysical Data Sets). НАСА, Commission on Geosciences, Environment and Resources). — 2001. — 121 pp.
Книга включает обзор массивов данных НАСА. Полярные районы рассматриваются в контексте иследований НАСА в области наук о земле. Дана оценка этих данных, представлены рекомендации по использованию массивов данных и их развитию. В приложении дано описание службы массивов данных. С содержанием книги можно ознакомится на Web сайте https://search.nap.edu/nap-cgi/getrecid.cgi?isbn=0309074010.
Информацию подготовил Е.Д. Вязилов (ВНИИГМИ-МЦД)
В разделе Web портала «Интерневод» https://www.internevod.com/rus/info/01/conv помещен очень удобный конвертор различных единиц измерений для следующих предметных областей:
- АСТРОНОМИЯ — астрономический юнит, парсеки, световые годы и т.д.
- ВЕС — килограммы, стоун, тонна, тройский фунт, унции, фунты и т.д.
- ВЯЗКОСТЬ — вода, глицерин, пуаз, сантипуаз и т.д.
- ДАВЛЕНИЕ — паскаль, пундаль/кв. фут, торр и т.д.
- ДЛИНА — дюймы, километры, метры, мили, миллиметры, милы (тысячные дюйма), морские сажени, морские мили, род, сантиметры, футы, ярды и т.д.
- КОМПЬЮТЕР — конвертирует байты, килобайты, мегабайты, гигабайты и т.д.
- КРУТЯЩИЙ МОМЕНТ — фунт-сила фут, фунт-сила дюйм, килограмм-сила метр и т.д.
- КУЛИНАРИЯ — капли, щипотки, чайные ложки, столовые ложки, чашки и т.д.
- МЕТРИЧЕСКИЙ ВЕС — микрограмм, миллиграмм, сантиграмм, грамм, килограмм и т.д.
- МОЩНОСТЬ — ватты, BTU/час (британская тепловая единица), фут-фунт/сек, лошадиные силы, киловатты и т.д.
- ОБЪЕМ/ЕМКОСТЬ — жидкие и сыпучие тела, литры, жидкие унции, пинты, кварты, галлоны, миллилитр/кубический сантиметр, баррель, джилл, хогсхед и т.д.
- ПЛОТНОСТЬ — килограмм/кубический метр, lbm/кубический фут, lbm/галлон, алюминий, медь, золото, вода и т.д.
- ПЛОЩАДЬ — квадратный сантиметр, квадратный метр, квадратный дюйм, квадратный фут, квадратная миля, квадратный километр, акры, окружности и т.д.
- СИЛА — грам-сила, пундаль, ньютон, фунт и т.д.
- СКОРОСТЬ — сантиметры/секунда, метры/секунда, километры/час, футы/секунда, футы/минута, мили/час, узлы и т.д.
- ТЕМПЕРАТУРА — цельсий, фаренгейт, кельвин
- УГЛЫ — градиенты, радианы, градусы, минуты, секунды, рoints и т.д.
- СИСТЕМЫ СЧИСЛЕНИЯ — двоичная, троичная, пятиричная, восьмиричная, десятичная, шестнадцатиричная
- ЭНЕРГИЯ — джоули, килокалории, фут-пундаль, фут-фунт, Kg сила-метр, BTU (британская тепловая единица), киловатт-час и т.д.
Конвертором можно воспользоваться на Web
сайтеhttps://www.internevod.com/rus/info/01/conv
Маленькие беспилотные самолеты, управляемые с судна, вскоре могут заменить дорогостоящие вертолеты, которыми в настоящее время пользуются рыбаки для определения концентрации запасов, пишет корреспондент FISHNET.RU со ссылкой на Fishing News International. Этими роботами можно будет управлять даже с малых рыболовных судов, что может существенно увеличить их прибыль. По словам компании производителя, все системы нового самолета работают нормально, как показывают испытания, проведенные на земле и в прибрежных водах, работа с ними будет завершена в этом году. Испытания на действующем тунцовом сейнере намечены на начало 2002 года.
Компания Seascan получила поддержку со стороны производителей тунца и даже заключила договора на будущие продажи беспилотного самолета при условии успешных испытаний летательного аппарата.
Размах крыла самолета Seascan составляет 2,9 метра, а общая длина — 1,2 метра. Однако, несмотря на небольшой размер, максимальная автономность самолета составляет 1300 км при высоте полета 5 км. Крейсерская скорость — 49 узлов, максимальная скорость — 68 узлов, требуемое топливо — смесь 87-ого бензина и масла в соотношении 50:1. Запуск самолета, на котором установлена система GPS (глобальная система местоопределения) различной мощности, осуществляется с помощью катапульты. Он возвращается на судно, зацепившись за трос, прикрепленный к шесту на одном из бортов судна. Специальными крюками, расположенными на крыльях, самолет цепляется за трос и зажимное устройство фиксирует его в этом положении.
Как правило, самолет будет запускаться на рассвете и вести разведку в течение 12 часов. Все это время самолет будет передавать видео ряд в режиме реального времени на расстоянии более 30 миль. На самолете установлена стабилизированная камера с увеличением 12:1 для проведения съемок большой территории или съемок крупным планом заданной территории. Самолет Seascan будет также посылать данные о температуре морской поверхности через заранее определенные интервалы. Оператор самолета, работающий на судне, не обязательно должен быть летчиком, так как Seascan сам запускается, осматривает зоны, выбранные оператором, и возвращается на судно.
Расчетный ресурс робота Seascan оценивается в 200 полетов и 2000 часов. Полный комплект, включая два самолета, будет стоить около 300 тысяч долларов США, сообщили в фирме. Кроме того, ожидается, что самолетам Seascan найдутся и другие области применения в мировой рыбной промышленности.
По материалам «Информационного бюллетеня «Рыбный курьер» 2001. N 7 (май) https://www.fishnet.ru/ryb_courier/cto_sample.shtml#5703122205
|
|
|
Четвертая Российская научно — техническая конференция «Современное состояние, проблемы навигации и океанографии» («НО-2001») |
6-9 июня 2001 г. в г. Санкт — Петербурге на базе Государственного научно — исследовательского навигационно — гидрографического института (ГосНИНГИ.) состоялась Четвертая Российская научно — техническая конференция «Современное состояние, проблемы навигации и океанографии». Работа конференции проводилась по следующим секциям: методы, точность и эффективность навигации (22 доклада), автономные навигационные системы и комплексы (19), спутниковые и наземные радионавигационные системы (46), средства навигационного оборудования (15), гидрография и морская картография (24), средства и методы морской геофизики (21), океанографические исследования (23), гидрометеорологическое обеспечение морской и воздушной навигации (25 докладов). Кроме того, на пленарном заседании было заслушано 9 докладов. По материалам докладов опубликованы расширенные тезисы в двух томах.
Информацию подготовил Е.Д. Вязилов (ВНИИГМИ-МЦД)
Oceanographic research in the Eastern Mediterranean and the Black Sea in recent years has been advanced by the national activities and international cooperative projects such as those supported by IOC/UNESCO, UNEP, NATO, NSF/USA, EU and IAEA. In spite of the various exchanges and interactions between these two basins (as well as between the people around them), the level of exchange of scientific information and cooperation between their scientific communities has been limited. The «First International Conference on the Oceanography of the Eastern Mediterranean and Black Sea: Similarities and Differences of Two Interconnected Basins» carried out in Athens/Greece during 23-26 February 1999 has been a great new venture in this respect. To further promote cooperative research, the Second International Conference with the same title will be held during 14-18 October, 2002 at the Cultural and Convention Center (CCC) of the Middle East Technical University (METU), in Ankara, Turkey. The conference is organized in Ankara, by the Institute of Marine Sciences of the Middle East Technical University (IMS/METU), located in Erdemli, Turkey. The Conference will be supported by NATO (Scientific and Environmental Affairs Division), Turkish Scientific and Technical Research Council (TÜBITAK), Intergovernmental Oceanographic Commission (IOC) of UNESCO, United Nations Environmental Programme/ Mediterranean Action Plan (UNEP/MAP), Black Sea Environmental Programme (BSEP/Project Implementation Unit and BSEP/Commission on the Protection of the Black Sea Against Pollution), and potentially by European Union (EU). Information on the Conference can be found at: https://www.ims.metu.edu.tr/2002_Ankara_Conference/
|
Присылайте, пожалуйста, материалы, касающиеся автоматизации сбора, обработки информации об обстановке в Мировом океане для помещения в новости ЕСИМО.
Научный редактор: д.т.н., зав. лаб. ВНИИГМИ-МЦД Е.Д.Вязилов. Тел. (08439) 74676, Факс: (095) 255-22-25 (для Вязилова), E-mail: vjaz@meteo.ru. Адрес: 249020, г. Обнинск, ул. Королева 6
© 2001 ВНИИГМИ-МЦД. Авторские права защищены
